SSC/StabilityConjecture/Bipolytrope51: Difference between revisions
| (48 intermediate revisions by the same user not shown) | |||
| Line 82: | Line 82: | ||
</tr> | </tr> | ||
</table> | </table> | ||
===New | In what follows, we start from scratch and re-derive an analytic expression from which the value of <math>\nu_\mathrm{max}(\mu_e/\mu_c)</math> can be obtained. At the conclusion of this "new" derivation, we present a [[#Example|table]] in which high-precision determinations of <math>\nu_\mathrm{max}</math> have been recorded for a range of values of <math>\mu_e/\mu_c = m_3/3</math>. The last column of this [[#Example|table]] lists "earlier fractional errors" of our determinations via this earlier-derived analytic expression. The tiny errors signal that our more recently derived expression (below) is identical to this earlier expression (immediately above). | ||
===New Derivation=== | |||
====Expressions for q and ν==== | ====Expressions for q and ν==== | ||
Following through the numbered steps that we have used to [[SSC/Structure/BiPolytropes/Analytic51|construct a bipolytrope with]] <math>(n_c, n_e) = (5, 1)</math>, and adopting the substitute notation, | Following through the numbered steps that we have used to [[SSC/Structure/BiPolytropes/Analytic51|construct a bipolytrope with]] <math>(n_c, n_e) = (5, 1)</math>, and adopting the substitute notation, | ||
| Line 1,207: | Line 1,111: | ||
By trial-and-error, we have searched for accurate <math>(m_3, \ell_i)</math> pairs; this, of course gives us the desired <math>(\mu_e/\mu_c, \xi_i)</math> pairs. When an accurate pair has been discovered, we should find that the LHS and RHS of the following expression should be equal to one another, to a very high degree of precision. | By trial-and-error, we have searched for accurate <math>(m_3, \ell_i)</math> pairs; this, of course gives us the desired <math>(\mu_e/\mu_c, \xi_i)</math> pairs. When an accurate pair has been discovered, we should find that the LHS and RHS of the following expression should be equal to one another, to a very high degree of precision. | ||
<table border="0" align="center" cellpadding="8"> | <table border="0" align="center" cellpadding="8"> | ||
<tr> | <tr> | ||
| Line 1,234: | Line 1,137: | ||
In the following table, the first row of numbers (associated with <math>\mu_e/\mu_c = 1/4</math>) shows results from the relatively crude "trial" Example #2 that we used, above as we debugged our derivation of this analytic expression. The second row of numbers improves on this initial guess, while the other rows give high-precision results for other selected values of <math>\mu_e/\mu_c</math>. | In the following table, the first row of numbers (associated with <math>\mu_e/\mu_c = 1/4</math>) shows results from the relatively crude "trial" Example #2 that we used, above as we debugged our derivation of this analytic expression. The second row of numbers improves on this initial guess, while the other rows give high-precision results for other selected values of <math>\mu_e/\mu_c</math>. | ||
<table border="1" align="center" cellpadding="8"> | <table border="1" align="center" cellpadding="8"> | ||
<tr> | |||
<td align="center" colspan="9"> | |||
[[File:DataFileButton02.png|right|60px|file = Dropbox/WorkFolder/Wiki edits/Bipolytrope/Stability/qAndNuMax.xlsx --- worksheet = K-BK74]]<br />'''Example High-Precision Determinations of <math>\nu_\mathrm{max}(\mu_e/\mu_c)</math>''' | |||
</td> | |||
</tr> | |||
<tr> | <tr> | ||
<td align="center"><math>\frac{\mu_e}{\mu_c}</math></td> | <td align="center"><math>\frac{\mu_e}{\mu_c}</math></td> | ||
| Line 1,243: | Line 1,151: | ||
<td align="center"><math>q</math></td> | <td align="center"><math>q</math></td> | ||
<td align="center"><math>\nu_\mathrm{max}</math></td> | <td align="center"><math>\nu_\mathrm{max}</math></td> | ||
<td align="center">earlier<br />fractional error</td> | |||
</tr> | </tr> | ||
<tr> | <tr> | ||
| Line 1,253: | Line 1,162: | ||
<td align="center"><math>0.084820</math></td> | <td align="center"><math>0.084820</math></td> | ||
<td align="center"><math>0.1393701568</math></td> | <td align="center"><math>0.1393701568</math></td> | ||
<td align="center"><math>-1.1 \times 10^{-2}</math></td> | |||
</tr> | </tr> | ||
<tr> | <tr> | ||
<td align="center"><math>\frac{1}{4}</math></td> | <td align="center" bgcolor="lightgreen"><math>\frac{1}{4}</math></td> | ||
<td align="center"><math>4.9379256</math></td> | <td align="center"><math>4.9379256</math></td> | ||
<td align="center">2530.312408401</td> | <td align="center">2530.312408401</td> | ||
| Line 1,262: | Line 1,172: | ||
<td align="center"><math>-0.0000398</math></td> | <td align="center"><math>-0.0000398</math></td> | ||
<td align="center"><math>0.0848241365</math></td> | <td align="center"><math>0.0848241365</math></td> | ||
<td align="center"><math>0.1393701572</math></td> | <td align="center" bgcolor="lightgreen"><math>0.1393701572</math></td> | ||
<td align="center"><math>-1.2 \times 10^{-7}</math></td> | |||
</tr> | </tr> | ||
<tr> | <tr> | ||
<td align="center"><math>0.295</math></td> | <td align="center" bgcolor="lightgreen"><math>0.295</math></td> | ||
<td align="center"><math>7.07531489</math></td> | <td align="center"><math>7.07531489</math></td> | ||
<td align="center">22437.37085296</td> | <td align="center">22437.37085296</td> | ||
| Line 1,272: | Line 1,183: | ||
<td align="center"><math>+0.0000232</math></td> | <td align="center"><math>+0.0000232</math></td> | ||
<td align="center"><math>0.0832775611</math></td> | <td align="center"><math>0.0832775611</math></td> | ||
<td align="center"><math>0.2646775149</math></td> | <td align="center" bgcolor="lightgreen"><math>0.2646775149</math></td> | ||
<td align="center"><math>6.3 \times 10^{-9}</math></td> | |||
</tr> | </tr> | ||
<tr> | <tr> | ||
<td align="center"><math>0.3</math></td> | <td align="center" bgcolor="lightgreen"><math>0.3</math></td> | ||
<td align="center"><math>7.569605936</math></td> | <td align="center"><math>7.569605936</math></td> | ||
<td align="center">34614.27130158</td> | <td align="center">34614.27130158</td> | ||
| Line 1,282: | Line 1,194: | ||
<td align="center"><math>+0.0000838</math></td> | <td align="center"><math>+0.0000838</math></td> | ||
<td align="center"><math>0.0814202240</math></td> | <td align="center"><math>0.0814202240</math></td> | ||
<td align="center"><math>0.2860557405</math></td> | <td align="center" bgcolor="lightgreen"><math>0.2860557405</math></td> | ||
<td align="center"><math>1.5 \times 10^{-8}</math></td> | |||
</tr> | </tr> | ||
<tr> | <tr> | ||
<td align="center"><math>0.305</math></td> | <td align="center" bgcolor="lightgreen"><math>0.305</math></td> | ||
<td align="center"><math>8.193828507</math></td> | <td align="center"><math>8.193828507</math></td> | ||
<td align="center">57980.93749506</td> | <td align="center">57980.93749506</td> | ||
| Line 1,292: | Line 1,205: | ||
<td align="center"><math>-0.0000361</math></td> | <td align="center"><math>-0.0000361</math></td> | ||
<td align="center"><math>0.0788994904</math></td> | <td align="center"><math>0.0788994904</math></td> | ||
<td align="center"><math>0.3100155910</math></td> | <td align="center" bgcolor="lightgreen"><math>0.3100155910</math></td> | ||
<td align="center"><math>9.6 \times 10^{-9}</math></td> | |||
</tr> | </tr> | ||
<tr> | <tr> | ||
<td align="center"><math>0.310</math></td> | <td align="center" bgcolor="lightgreen"><math>0.310</math></td> | ||
<td align="center"><math>9.014959766</math></td> | <td align="center"><math>9.014959766</math></td> | ||
<td align="center">-</td> | <td align="center">-</td> | ||
| Line 1,302: | Line 1,216: | ||
<td align="center"><math>+0.000169</math></td> | <td align="center"><math>+0.000169</math></td> | ||
<td align="center"><math>0.0755022550</math></td> | <td align="center"><math>0.0755022550</math></td> | ||
<td align="center"><math>0.3372170065</math></td> | <td align="center" bgcolor="lightgreen"><math>0.3372170065</math></td> | ||
<td align="center"><math>-3.8 \times 10^{-9}</math></td> | |||
</tr> | </tr> | ||
<tr> | <tr> | ||
<td align="center"><math>0.320</math></td> | <td align="center" bgcolor="lightgreen"><math>0.320</math></td> | ||
<td align="center"><math>11.914571350</math></td> | <td align="center"><math>11.914571350</math></td> | ||
<td align="center">-</td> | <td align="center">-</td> | ||
| Line 1,312: | Line 1,227: | ||
<td align="center"><math>-0.0000119</math></td> | <td align="center"><math>-0.0000119</math></td> | ||
<td align="center"><math>0.0644564059</math></td> | <td align="center"><math>0.0644564059</math></td> | ||
<td align="center"><math>0.4061310924</math></td> | <td align="center" bgcolor="lightgreen"><math>0.4061310924</math></td> | ||
<td align="center"><math>1.4 \times 10^{-9}</math></td> | |||
</tr> | |||
<tr> | |||
<td align="center" bgcolor="lightgreen"><math>0.325</math></td> | |||
<td align="center"><math>15.0964057345</math></td> | |||
<td align="center">-</td> | |||
<td align="center">-</td> | |||
<td align="center">-</td> | |||
<td align="center"><math>-0.000216</math></td> | |||
<td align="center"><math>0.0549312331</math></td> | |||
<td align="center" bgcolor="lightgreen"><math>0.4531316008</math></td> | |||
<td align="center"><math>-4.7 \times 10^{-10}</math></td> | |||
</tr> | |||
<tr> | |||
<td align="center" bgcolor="lightgreen"><math>\frac{1}{3}</math></td> | |||
<td align="center"><math>\infty</math></td> | |||
<td align="center">-</td> | |||
<td align="center">-</td> | |||
<td align="center">-</td> | |||
<td align="center">--</td> | |||
<td align="center"><math>0.0</math></td> | |||
<td align="center" bgcolor="lightgreen"><math>0.63661977</math></td> | |||
<td align="center">-</td> | |||
</tr> | |||
</table> | |||
In a [[SSC/Structure/BiPolytropes/Analytic51#Derivation|separate earlier derivation]], we determined that the analytic expression from which the value of <math>\nu_\mathrm{max}</math> can be derived is, | |||
<table border="0" cellpadding="5" align="center"> | |||
<tr> | |||
<td align="right"> | |||
<math> | |||
\biggl(\frac{\pi}{2} + \tan^{-1} \Lambda_i\biggr) (1+\ell_i^2) [ 3 + (1-m_3)^2(2-\ell_i^2)\ell_i^2] | |||
</math> | |||
</td> | |||
<td align="center"> | |||
<math>=</math> | |||
</td> | |||
<td align="left"> | |||
<math> | |||
m_3 \ell_i [(1-m_3)\ell_i^4 - (m_3^2 - m_3 +2)\ell_i^2 - 3] \, . | |||
</math> | |||
</td> | |||
</tr> | |||
</table> | |||
The last column of the table — labeled "earlier fractional error" — shows the result of subtracting the LHS of this earlier expression from its RHS, then dividing by the LHS. Because our derived "earlier fractional error" values are tiny, we are convinced that these two separately derived expressions are indeed identical. | |||
===Model Pairings=== | |||
Guided by our [[Appendix/Ramblings/NonlinarOscillation#Summary|separate examination of the K-BK74 conjecture]] in the context of pressure-truncated n = 5 polytropes, we will adopt the small (and always positive) parameter, | |||
<table border="0" align="center" cellpadding="8"> | |||
<tr> | |||
<td align="right"> | |||
<math> | |||
\delta | |||
</math> | |||
</td> | |||
<td align="center"> | |||
<math>\equiv</math> | |||
</td> | |||
<td align="left"> | |||
<math> | |||
\biggl[ 1 - \biggl( \frac{\nu}{\nu_\mathrm{max}} \biggr)^2 \biggr]^{1 / 2} \, . | |||
</math> | |||
</td> | |||
</tr> | |||
</table> | |||
(In our separate discussion, the small parameter was labelled, <math>\mu</math>, rather than <math>\delta</math>.) For a given "m<sub>3</sub>" equilibrium sequence, we seek two different equilibrium models that have the same value of <math>\delta \ll 1</math>, but different values of the interface parameter, <math>\xi_+ > \xi_i</math> and <math>\xi_- < \xi_i</math>. Guided also by the [[Appendix/Ramblings/NonlinarOscillation#Table1|''Selected Pairings'' table from this separate examination]], Table 2 (below) provides some model pairs (i.e., models with the same fractional core-mass) that lie close to the maximum value. | |||
<table border="1" align="center" cellpadding="5"> | |||
<tr> | |||
<th align="center" colspan="9">[[File:DataFileButton02.png|right|60px|file = Dropbox/WorkFolder/Wiki edits/Bipolytrope/Stability/qAndNuMax.xlsx --- worksheet = K-BK74 thru MinuPreparation]]Table 2<br />Bipolytrope with <math>(n_c, n_e) = (5, 1)</math><br />Selected Pairings along the <math>\mu_e/\mu_c = 0.31</math> Sequence</th> | |||
</tr> | |||
<tr> | |||
<td align="center">Pairing</td> | |||
<td align="center"><math>(\xi_i)_+</math></td> | |||
<td align="center"><math>\Lambda_i</math></td> | |||
<td align="center"><math>\nu</math></td> | |||
<td align="center"><math>q_+</math></td> | |||
<td align="center"><math>\delta_+</math></td> | |||
<td align="center"><math>(\xi_i)_-</math></td> | |||
<td align="center"><math>\delta_-</math></td> | |||
<td align="center"><math>q_-</math></td> | |||
</tr> | |||
<tr> | |||
<td align="center">'''A'''</td> | |||
<td align="center"><math>9.014959766</math></td> | |||
<td align="center"><math>0.59835053</math></td> | |||
<td align="center"><math>0.33721701</math></td> | |||
<td align="center"><math>0.075502255</math></td> | |||
<td align="center"><math>0.0</math></td> | |||
<td align="center">degenerate</td> | |||
<td align="center">degenerate</td> | |||
<td align="center">degenerate</td> | |||
</tr> | |||
<tr> | |||
<td align="center">'''B'''</td> | |||
<td align="center"><math>9.12744</math></td> | |||
<td align="center"><math>0.60069262</math></td> | |||
<td align="center"><math>0.337200144</math></td> | |||
<td align="center"><math>0.0746451491</math></td> | |||
<td align="center"><math>0.0100000169</math></td> | |||
<td align="center"><math>8.90394</math></td> | |||
<td align="center"><math>0.0100000123</math></td> | |||
<td align="center"><math>0.7636421328</math></td> | |||
</tr> | |||
<tr> | |||
<td align="center" colspan="9"> | |||
[[File:RadiusVsMassFraction310.png|450px|Radius vs. Mass for Maximum-Mass Bipoltrope having μ-ratio = 0.310]] | |||
</td> | |||
</tr> | |||
</table> | |||
In a [[SSC/Structure/BiPolytropes/Analytic51|separate chapter]], we have described in detail how to construct equilibrium models of bipolytropes that have <math>(n_c, n_e) = (5, 1)</math>; each model is uniquely defined by the parameter-pair, <math>(\mu_e/\mu_c, \xi_i)</math>. In [[SSC/Structure/BiPolytropes/Analytic51#Profile|Table 2 of that chapter]], we have provided plots that show how the density, pressure, and "interior mass" <math>M_r</math> vary with <math>r</math> throughout the interior of nine example equilibrium models. We chose models having <math>\xi_i = 0.5, 1.0,</math> and <math>3.0</math>; and for each value of these interface locations, we illustrated <math>\mu_e/\mu_c = 1, 1/2,</math> and <math>1/4</math>. We have followed the same sequence of steps to construct the two equilibrium models specified by the '''Pairing B''' parameters that have been listed in our current Table 2 (immediately above); that is, we used <math>(\mu_e/\mu_c, \xi_i)_+ = (0.31, 9.12744)</math> and <math>(\mu_e/\mu_c, \xi_i)_- = (0.31, 8.90394)</math>. The plot at the bottom of our current Table 2 shows how the "plus" model's radial location varies with the enclosed mass-fraction, <math>M_r/M_\mathrm{tot}</math>. (There is no need to show a plot of the "minus" model's mass profile because its structure was purposely chosen to be very similar to the "plus" model's profile.) | |||
===Eigenfunction=== | |||
The two '''Pairing B''' models have (almost) identical fractional core masses — specifically, <math>\nu_+ = \nu_- = 0.337200</math> — and this chosen mass-fraction is just below the maximum value associated with the <math>\mu_e/\mu_c = 0.31</math> model sequence, <math>\nu_\mathrm{max} = 0.33721701</math> (see the degenerate, '''Pairing A'''). With these two mass-radius structural profiles, we are positioned to implement the [[Appendix/Ramblings/NonlinarOscillation#Radial_Oscillations_in_Pressure-Truncated_n_.3D_5_Polytropes|K-BK74 conjecture]]. Letting <math>r_+(m_r)</math> represent the run of radius with mass-fraction in the "plus" model and letting <math>r_-(m_r)</math> represent the run of radius with mass-fraction in the "minus" model, the amplitude of the eigenfunction at each value of <math>m_r</math> should be very close to the value, | |||
<table border="0" align="center"> | |||
<tr> | |||
<td align="right"> | |||
<math>x</math> | |||
</td> | |||
<td align="center"> | |||
<math>=</math> | |||
</td> | |||
<td align="left"> | |||
<math>\frac{r_+ - r_-}{(r_+ + r_-)} \, .</math> | |||
</td> | |||
</tr> | |||
</table> | |||
Table 3 titled, "Eigenfunction," provides this eigenfunction amplitude at twenty-three different mass-fraction locations throughout our '''Pairing B''' model(s). For example, at the interface location where <math>m_r = 0.337200</math> (for both models), our pair of models give, respectively, <math>r_- = 6.152518</math> and <math>r_+ = 6.306954</math>; this means that, at the interface, <math>x = 0.012395</math>, as recorded in Table 3. Similarly, at the surface we find that, <math>r_- = 80.568084</math> and <math>r_+ = 84.492486</math> which means that, <math>x = 0.023776</math>, as recorded in Table 3. | |||
<table border="1" align="center" cellpadding="5"> | |||
<tr> | |||
<th align="center" colspan="6"> | |||
Table 3: Eigenfunction | |||
</th> | |||
</tr> | |||
<tr> | |||
<td align="center"><math>\frac{M_r}{M_\mathrm{tot}}</math></td> | |||
<td align="center"><math>\frac{r_+ - r_-}{2(r_+ + r_-)}</math></td> | |||
<td align="center" bgcolor="lightgray" rowspan="13"> </td> | |||
<td align="center"><math>\frac{M_r}{M_\mathrm{tot}}</math></td> | |||
<td align="center"><math>\frac{r_+ - r_-}{2(r_+ + r_-)}</math></td> | |||
<td align="center" rowspan="13"> | |||
[[File:Eigenfunction310.png|450px|K-BK74 Method used to determine radial eigenfunction for Maximum-Mass Bipoltrope having μ-ratio = 0.310]] | |||
</td> | |||
</tr> | |||
<tr> | |||
<td align="center"><math>0.00</math></td> | |||
<td align="center"><math>0.0</math></td> | |||
<td align="center"><math>0.50</math></td> | |||
<td align="center"><math>0.023454</math></td> | |||
</tr> | |||
<tr> | |||
<td align="center"><math>0.05</math></td> | |||
<td align="center"><math>0.000562</math></td> | |||
<td align="center"><math>0.55</math></td> | |||
<td align="center"><math>0.023537</math></td> | |||
</tr> | |||
<tr> | |||
<td align="center"><math>0.10</math></td> | |||
<td align="center"><math>0.000780</math></td> | |||
<td align="center"><math>0.60</math></td> | |||
<td align="center"><math>0.023596</math></td> | |||
</tr> | |||
<tr> | |||
<td align="center"><math>0.15</math></td> | |||
<td align="center"><math>0.001035</math></td> | |||
<td align="center"><math>0.65</math></td> | |||
<td align="center"><math>0.023634</math></td> | |||
</tr> | |||
<tr> | |||
<td align="center"><math>0.20</math></td> | |||
<td align="center"><math>0.001464</math></td> | |||
<td align="center"><math>0.70</math></td> | |||
<td align="center"><math>0.023663</math></td> | |||
</tr> | |||
<tr> | |||
<td align="center"><math>0.25</math></td> | |||
<td align="center"><math>0.002123</math></td> | |||
<td align="center"><math>0.75</math></td> | |||
<td align="center"><math>0.023686</math></td> | |||
</tr> | |||
<tr> | |||
<td align="center"><math>0.30</math></td> | |||
<td align="center"><math>0.004103</math></td> | |||
<td align="center"><math>0.80</math></td> | |||
<td align="center"><math>0.023704</math></td> | |||
</tr> | |||
<tr> | |||
<td align="center"><math>0.35</math></td> | |||
<td align="center"><math>0.020430</math></td> | |||
<td align="center"><math>0.85</math></td> | |||
<td align="center"><math>0.023724</math></td> | |||
</tr> | |||
<tr> | |||
<td align="center"><math>0.3372</math></td> | |||
<td align="center"><math>0.012395</math></td> | |||
<td align="center"><math>0.90</math></td> | |||
<td align="center"><math>0.023740</math></td> | |||
</tr> | |||
<tr> | |||
<td align="center"><math>0.375</math></td> | |||
<td align="center"><math>0.012395</math></td> | |||
<td align="center"><math>0.95</math></td> | |||
<td align="center"><math>0.023754</math></td> | |||
</tr> | |||
<tr> | |||
<td align="center"><math>0.40</math></td> | |||
<td align="center"><math>0.022421</math></td> | |||
<td align="center"><math>1.00</math></td> | |||
<td align="center"><math>0.023776</math></td> | |||
</tr> | |||
<tr> | |||
<td align="center"><math>0.45</math></td> | |||
<td align="center"><math>0.023282</math></td> | |||
<td align="center"> </td> | |||
<td align="center"> </td> | |||
</tr> | |||
</table> | |||
The (Table 3) eigenfunction that we have constructed via the [[Appendix/Ramblings/NonlinarOscillation#Radial_Oscillations_in_Pressure-Truncated_n_.3D_5_Polytropes|K-BK74 conjecture]] has several notable features: | |||
<ul> | |||
<li> | |||
Moving from the center of the configuration out to the core-envelope interface, the eigenfunction exhibits a smooth, mild steady increase. | |||
</li> | |||
<li> | |||
Moving from the interface out to the surface of the configuration, the eigenfunction is essentially constant; this means that the envelope expands/contracts homologously. | |||
</li> | |||
<li> | |||
At the interface the core transitions to the envelope via (essentially) a step function; for the selected model sequence <math>(\mu_e/\mu_c = 0.310)</math>, the eigenfunction amplitude jumps by a factor of <math>\approx 6</math>. It seems reasonable to suspect that the existence of, and magnitude of, this jump is related to our choice of the size of the μ-jump (0.310); but it also may depend on the values of the adiabatic exponents, <math>(\gamma_c, \gamma_e) = (6/5, 2)</math>. | |||
</li> | |||
<li> | |||
Also, following the B-KB74 conjecture, the implicit assumption is that the eigen''frequency'' associated with this marginally unstable model is zero. | |||
</li> | |||
</ul> | |||
Things to do in an effort to follow up on these recognized attributes of the eigenfunction: | |||
<ul> | |||
<li> | |||
Does the behavior (mild steady increase) of the core eigenfunction resemble, in any fashion, the [[SSC/Stability/InstabilityOnsetOverview#Polytropic_Stability|analytically determined eigenfunction for the marginally unstable, pressure-truncated, n = 5 Polytrope]]? | |||
</li> | |||
<li> | |||
[[SSC/Stability/MurphyFiedler85#Interface_Conditions|Ledoux & Walraven (1958)]] have examined how the LAWE needs to be modified if there is a discontinuity at a core-envelope interface. Did they just examine step-function changes in the adiabatic index, or did they also look at jumps in μ? | |||
</li> | |||
<li> | |||
In our [[SSC/Stability/BiPolytropes#Eigenfunction_Details|earlier attempt to solve the LAWE]] for 51 bipolytropes, we did not allow the possibility of a step function at the interface for the eigenfunction. If you flip the Figure 5 and Figure 6 curves upside down, and insert a step function, you can argue that these earlier eigenfunctions resemble our new one. | |||
</li> | |||
<li> | |||
Is it easy to show that a constant eigenfunction throughout the envelope readily satisfies the [[SSC/Stability/InstabilityOnsetOverview#Polytropic_Stability|surface boundary condition]]? | |||
</li> | |||
</ul> | |||
==Where Do We Go From Here?== | |||
===Pure Speculation=== | |||
In a [[SSC/Stability/BiPolytropes#Fundamental_Modes|separate discussion]], we numerically solved the LAWE for a selected set of (5, 1) bipolytrope models while imposing certain (perhaps unjustified) constraints. One such derived eigenfunction is shown in the left-hand panel of the following figure. If we "flip" this eigenfunction upside, down, and insert a step function at the interface location — see the right-hand panel of the same figure — we obtain an eigenfunction that very roughly resembles the eigenfunction that we have just obtained via activation of the B-KB74 conjecture. | |||
<table border="1" align="center"> | |||
<tr> | |||
<td align="center">[[File:Mod0MuRatio100.png|300px|Earlier-derived Eigenfunction]]</td> | |||
<td align="center">[[File:Mod0MuRatio100Flipped.png|300px|Pure Speculation]]</td> | |||
</tr> | |||
</table> | |||
=LAWE for (n<sub>c</sub>, n<sub>e</sub>) = (5, 1) Models= | |||
Following closely the [[SSC/Stability/BiPolytropes#Radial_Oscillations_of_.28nc.2C_ne.29_.3D_.285.2C_1.29_Models|accompanying discussion]], the relevant LAWE for both the core and the envelope can be written in the generic form, | |||
<table border="0" cellpadding="5" align="center"> | |||
<tr> | |||
<td align="right"> | |||
<math>0</math> | |||
</td> | |||
<td align="center"> | |||
<math>=</math> | |||
</td> | |||
<td align="left"> | |||
<math> | |||
\frac{d^2x}{dr*^2} + \biggl\{ 4 -\biggl(\frac{\rho^*}{P^*}\biggr)\frac{ M_r^*}{(r^*)}\biggr\}\frac{1}{r^*} \frac{dx}{dr*} | |||
+ \biggl(\frac{\rho^*}{ P^* } \biggr)\biggl\{ \frac{2\pi \sigma_c^2}{3\gamma_\mathrm{g}} ~-~\frac{\alpha_\mathrm{g} M_r^*}{(r^*)^3}\biggr\} x \, , | |||
</math> | |||
</td> | |||
</tr> | </tr> | ||
</table> | </table> | ||
</table> | |||
where, | |||
<table border="0" cellpadding="5" align="center"> | |||
<tr> | |||
<td align="right"> | |||
<math>\sigma_c^2</math> | |||
</td> | |||
<td align="center"> | |||
<math>\equiv</math> | |||
</td> | |||
<td align="left"> | |||
<math> | |||
\frac{3\omega^2}{2\pi G \rho_c} | |||
</math> | |||
</td> | |||
<td align="center"> , </td> | |||
<td align="right"> | |||
<math>\alpha_g</math> | |||
</td> | |||
<td align="center"> | |||
<math>\equiv</math> | |||
</td> | |||
<td align="left"> | |||
<math> | |||
3 - \frac{4}{\gamma_g} \ . | |||
</math> | |||
</td> | |||
</tr> | |||
</table> | |||
The identical expression in a more compact form is, | |||
<table border="0" cellpadding="5" align="center"> | |||
<tr> | |||
<td align="right"> | |||
<math>0</math> | |||
</td> | |||
<td align="center"> | |||
<math>=</math> | |||
</td> | |||
<td align="left"> | |||
<math> | |||
x'' + \frac{\mathcal{H}}{r^*} x' + \biggl[ \biggl(\frac{\sigma_c^2}{\gamma_\mathrm{g}}\biggr) \mathcal{K}_1 - \alpha_\mathrm{g} \mathcal{K}_2 \biggr] x | |||
</math> | |||
</td> | |||
</tr> | |||
</table> | |||
where, | |||
<table border="0" cellpadding="5" align="center"> | |||
<tr> | |||
<td align="right"> | |||
<math>\mathcal{H}</math> | |||
</td> | |||
<td align="center"> | |||
<math>\equiv</math> | |||
</td> | |||
<td align="left"> | |||
<math> | |||
\biggl\{ 4 -\biggl(\frac{\rho^*}{P^*}\biggr)\frac{ M_r^*}{(r^*)}\biggr\} | |||
</math> | |||
</td> | |||
<td align="center"> , </td> | |||
<td align="right"> | |||
<math>\mathcal{K}_1</math> | |||
</td> | |||
<td align="center"> | |||
<math>\equiv</math> | |||
</td> | |||
<td align="left"> | |||
<math> | |||
\frac{2\pi }{3}\biggl(\frac{\rho^*}{ P^* } \biggr) | |||
</math> | |||
</td> | |||
<td align="center"> and </td> | |||
<td align="right"> | |||
<math>\mathcal{K}_2</math> | |||
</td> | |||
<td align="center"> | |||
<math>\equiv</math> | |||
</td> | |||
<td align="left"> | |||
<math> | |||
\biggl(\frac{\rho^*}{ P^* } \biggr)\frac{M_r^*}{(r^*)^3} \, . | |||
</math> | |||
</td> | |||
</tr> | |||
</table> | |||
==Core== | |||
===Tuned LAWE for Core=== | |||
From the equilibrium structure of n = 5 polytropes, we know that throughout the core, | |||
<table border="0" cellpadding="5" align="center"> | |||
<tr> | |||
<td align="right"> | |||
<math>r^*</math> | |||
</td> | |||
<td align="center"> | |||
<math>=</math> | |||
</td> | |||
<td align="left"> | |||
<math>\biggl( \frac{3}{2\pi}\biggr)^{1 / 2} \xi \, ,</math> | |||
</td> | |||
</tr> | |||
<tr> | |||
<td align="right"> | |||
<math>\frac{\rho^*}{P^*}</math> | |||
</td> | |||
<td align="center"> | |||
<math>=</math> | |||
</td> | |||
<td align="left"> | |||
<math>\biggl( 1 + \frac{1}{3}\xi^2 \biggr)^{1 / 2} \, ,</math> | |||
</td> | |||
</tr> | |||
<tr> | |||
<td align="right"> | |||
<math>\frac{M_r^*}{r^*}</math> | |||
</td> | |||
<td align="center"> | |||
<math>=</math> | |||
</td> | |||
<td align="left"> | |||
<math> | |||
\biggl( \frac{2\cdot 3}{\pi } \biggr)^{1/2} \biggl[ \xi^3 \biggl( 1 + \frac{1}{3}\xi^2 \biggr)^{-3/2} \biggr]\biggl( \frac{2\pi}{3}\biggr)^{1 / 2} \frac{1}{\xi} | |||
= 2 \xi^2 \biggl( 1 + \frac{1}{3}\xi^2 \biggr)^{-3/2} | |||
\, . | |||
</math> | |||
</td> | |||
</tr> | |||
</table> | |||
Hence the coefficients, | |||
<table border="0" cellpadding="5" align="center"> | |||
<tr> | |||
<td align="right"> | |||
<math>\mathcal{H}</math> | |||
</td> | |||
<td align="center"> | |||
<math>=</math> | |||
</td> | |||
<td align="left"> | |||
<math> | |||
4 - 2 \xi^2 \biggl( 1 + \frac{1}{3}\xi^2 \biggr)^{-1} \, , | |||
</math> | |||
</td> | |||
<td align="center"> </td> | |||
<td align="right"> | |||
<math>\mathcal{K}_1</math> | |||
</td> | |||
<td align="center"> | |||
<math>=</math> | |||
</td> | |||
<td align="left"> | |||
<math> | |||
\frac{2\pi}{3}\biggl( 1 + \frac{1}{3}\xi^2 \biggr)^{1 / 2} \, , | |||
</math> | |||
</td> | |||
<td align="center"> and </td> | |||
<td align="right"> | |||
<math>\mathcal{K}_2</math> | |||
</td> | |||
<td align="center"> | |||
<math>=</math> | |||
</td> | |||
<td align="left"> | |||
<math> | |||
\frac{4\pi}{3} \biggl( 1 + \frac{1}{3}\xi^2 \biggr)^{-1} \, ; | |||
</math> | |||
</td> | |||
</tr> | |||
</table> | |||
and the terms in the LAWE that involve derivatives of the fractional displacement, <math>x</math>, become, | |||
<table border="0" cellpadding="5" align="center"> | |||
<tr> | |||
<td align="right"> | |||
<math>x'' \equiv \frac{d^2x}{d(r^*)^2}</math> | |||
</td> | |||
<td align="center"> | |||
<math>=</math> | |||
</td> | |||
<td align="left"> | |||
<math> | |||
\biggl(\frac{2\pi}{3}\biggr)\frac{d^2x}{d\xi^2} \, , | |||
</math> | |||
</td> | |||
<td align="center"> and </td> | |||
<td align="right"> | |||
<math>\frac{x'}{r^*} = \frac{1}{r^*}\frac{dx}{dr^*}</math> | |||
</td> | |||
<td align="center"> | |||
<math>=</math> | |||
</td> | |||
<td align="left"> | |||
<math> | |||
\frac{1}{\xi}\biggl(\frac{2\pi}{3 }\biggr)\frac{dx}{d\xi} \, . | |||
</math> | |||
</td> | |||
</tr> | |||
</table> | |||
Therefore, dividing the LAWE (for the core) through by <math>(2\pi/3)</math> gives, | |||
<table border="0" cellpadding="5" align="center"> | |||
<tr> | |||
<td align="right"> | |||
<math>0</math> | |||
</td> | |||
<td align="center"> | |||
<math>=</math> | |||
</td> | |||
<td align="left"> | |||
<math> | |||
\frac{d^2x}{d\xi^2} | |||
+ | |||
\frac{1}{\xi}\biggl[ 4 - 2 \xi^2 \biggl( 1 + \frac{1}{3}\xi^2 \biggr)^{-1} \biggr]\frac{dx}{d\xi} | |||
+ | |||
\biggl\{ | |||
\biggl(\frac{\sigma_c^2}{\gamma_\mathrm{g}}\biggr) \biggl[ \biggl( 1 + \frac{1}{3}\xi^2 \biggr)^{1 / 2} \biggr] | |||
- 2\alpha_\mathrm{g} \biggl[ \biggl( 1 + \frac{1}{3}\xi^2 \biggr)^{-1} \biggr] | |||
\biggr\} x \, . | |||
</math> | |||
</td> | |||
</tr> | |||
</table> | |||
===Trial Core Eigenvector=== | |||
Borrowing from our [[SSC/Stability/InstabilityOnsetOverview#Analyses_of_Radial_Oscillations|analysis of the stability of pressure-truncated n = 5 polytropes]], for the marginally unstable model <math>(\sigma_c^2 = 0)</math> let's try a radial displacement function of the form, | |||
<table border="0" cellpadding="5" align="center"> | |||
<tr> | |||
<td align="right"> | |||
<math>x_\mathrm{trial}</math> | |||
</td> | |||
<td align="center"> | |||
<math>=</math> | |||
</td> | |||
<td align="left"> | |||
<math> | |||
A + B\xi^2 \, . | |||
</math> | |||
</td> | |||
</tr> | |||
</table> | |||
Plugging this guess into the LAWE and noting that <math>\alpha_g = (3-10/3) = -1/3</math> (for the n = 5 core), we find, | |||
<table border="0" cellpadding="5" align="center"> | |||
<tr> | |||
<td align="right"> | |||
RHS | |||
</td> | |||
<td align="center"> | |||
<math>=</math> | |||
</td> | |||
<td align="left"> | |||
<math> | |||
(2B) | |||
+ | |||
(2B)\biggl[ 4 - 2 \xi^2 \biggl( 1 + \frac{1}{3}\xi^2 \biggr)^{-1} \biggr] | |||
+ | |||
\biggl\{ | |||
\biggl(\frac{\cancelto{0}{\sigma_c^2}}{\gamma_\mathrm{g}}\biggr) \biggl[ \biggl( 1 + \frac{1}{3}\xi^2 \biggr)^{1 / 2} \biggr] | |||
+\frac{2}{3} \biggl[ \biggl( 1 + \frac{1}{3}\xi^2 \biggr)^{-1} \biggr] | |||
\biggr\} \biggl[A + B\xi^2 \biggr] | |||
</math> | |||
</td> | |||
</tr> | |||
<tr> | |||
<td align="right"> | |||
| |||
</td> | |||
<td align="center"> | |||
<math>=</math> | |||
</td> | |||
<td align="left"> | |||
<math> | |||
2B | |||
+ | |||
(2B)\biggl[ 4 \biggr] | |||
- | |||
(2B)\biggl[ 2 \xi^2 \biggl( 1 + \frac{1}{3}\xi^2 \biggr)^{-1} \biggr] | |||
+ | |||
\frac{2}{3} \biggl[ \biggl( 1 + \frac{1}{3}\xi^2 \biggr)^{-1} \biggr] | |||
\biggl[A + B\xi^2 \biggr] | |||
</math> | |||
</td> | |||
</tr> | |||
<tr> | |||
<td align="right"> | |||
| |||
</td> | |||
<td align="center"> | |||
<math>=</math> | |||
</td> | |||
<td align="left"> | |||
<math>\frac{1}{3}\biggl(1 + \frac{1}{3}\xi^2 \biggr)^{-1}\biggl\{ | |||
10B \biggl(3 + \xi^2 \biggr) | |||
- | |||
12 B\xi^2 | |||
+ | |||
2 | |||
\biggl[A + B\xi^2 \biggr] | |||
\biggr\} | |||
</math> | |||
</td> | |||
</tr> | |||
<tr> | |||
<td align="right"> | |||
| |||
</td> | |||
<td align="center"> | |||
<math>=</math> | |||
</td> | |||
<td align="left"> | |||
<math>\frac{2}{3}\biggl(1 + \frac{1}{3}\xi^2 \biggr)^{-1}\biggl\{ | |||
15B + A | |||
\biggr\} \, . | |||
</math> | |||
</td> | |||
</tr> | |||
</table> | |||
In order for this RHS to be zero, we therefore need, <math>B = -A/15</math>. Okay. This matches our earlier derivation. In order to compare this trial eigenfunction with the "core" portion of the eigenfunction that we obtained empirically via the B-KB74 conjecture, we need to know how <math>x_\mathrm{trial}</math> varies with <math>M_r^*</math>. | |||
Well we know that, | |||
<table border="0" cellpadding="5" align="center"> | |||
<tr> | |||
<td align="right"> | |||
<math>m^* \equiv \biggl(\frac{\pi}{2\cdot 3}\biggr)^{1 / 2}M_r^*</math> | |||
</td> | |||
<td align="center"> | |||
<math>=</math> | |||
</td> | |||
<td align="left"> | |||
<math> | |||
\xi^3 \biggl( 1 + \frac{1}{3}\xi^2 \biggr)^{-3 / 2} | |||
</math> | |||
</td> | |||
</tr> | |||
<tr> | |||
<td align="right"> | |||
<math>\Rightarrow ~~~ \biggl( 1 + \frac{1}{3}\xi^2 \biggr)</math> | |||
</td> | |||
<td align="center"> | |||
<math>=</math> | |||
</td> | |||
<td align="left"> | |||
<math> | |||
\frac{\xi^2}{(m^*)^{2/3}} | |||
</math> | |||
</td> | |||
</tr> | |||
<tr> | |||
<td align="right"> | |||
<math>\Rightarrow ~~~ 3 + \xi^2 </math> | |||
</td> | |||
<td align="center"> | |||
<math>=</math> | |||
</td> | |||
<td align="left"> | |||
<math> | |||
\frac{3\xi^2}{(m^*)^{2/3}} | |||
</math> | |||
</td> | |||
</tr> | |||
<tr> | |||
<td align="right"> | |||
<math>\Rightarrow ~~~ 3(m^*)^{2/3} </math> | |||
</td> | |||
<td align="center"> | |||
<math>=</math> | |||
</td> | |||
<td align="left"> | |||
<math> | |||
\xi^2 \biggl[3 - (m^*)^{2/3}\biggr] | |||
</math> | |||
</td> | |||
</tr> | |||
<tr> | |||
<td align="right"> | |||
<math>\Rightarrow ~~~ \xi^2</math> | |||
</td> | |||
<td align="center"> | |||
<math>=</math> | |||
</td> | |||
<td align="left"> | |||
<math> | |||
\biggl[\frac{3(m^*)^{2/3}}{3 - (m^*)^{2/3}}\biggr] \, . | |||
</math> | |||
</td> | |||
</tr> | |||
</table> | |||
Hence, the trial eigenfunction may be written as, | |||
<table border="0" cellpadding="5" align="center"> | |||
<tr> | |||
<td align="right"> | |||
<math>x_\mathrm{trial}</math> | |||
</td> | |||
<td align="center"> | |||
<math>=</math> | |||
</td> | |||
<td align="left"> | |||
<math> | |||
A\biggl\{ | |||
1 - \frac{1}{15}\biggl[\frac{3(m^*)^{2/3}}{3 - (m^*)^{2/3}}\biggr] | |||
\biggr\} \, . | |||
</math> | |||
</td> | |||
</tr> | |||
</table> | |||
Now, from [[#Expressions_for_q_and_.CE.BD|above]], we know that, | |||
<table border="0" align="center" cellpadding="5"> | |||
<tr> | |||
<td align="right"> | |||
<math>m^*_\mathrm{core} \equiv \biggl(\frac{\pi}{2\cdot 3}\biggr)^{1 / 2}\biggl[ \frac{G^3 \rho_0^{2/5}}{K_c^3} \biggr]^{1 / 2} M_\mathrm{core}</math> | |||
</td> | |||
<td align="center"> | |||
<math>=</math> | |||
</td> | |||
<td align="left"> | |||
<math> | |||
\biggl(\frac{\pi}{2\cdot 3}\biggr)^{1 / 2}3^2\biggl(\frac{2}{\pi} \biggr)^{1 / 2}\ell_i^3(1 + \ell_i^2)^{-3 / 2} | |||
= | |||
3^{3/2} \ell_i^3(1 + \ell_i^2)^{-3 / 2} | |||
</math> | |||
</td> | |||
</tr> | |||
<tr> | |||
<td align="right"> | |||
<math>\Rightarrow ~~~ | |||
[m^*_\mathrm{core}]^{2 / 3} | |||
</math> | |||
</td> | |||
<td align="center"> | |||
<math>=</math> | |||
</td> | |||
<td align="left"> | |||
<math> | |||
3 \ell_i^2(1 + \ell_i^2)^{-1} \, , | |||
</math> | |||
</td> | |||
</tr> | |||
</table> | |||
where, <math>\ell_i \equiv \xi_i/\sqrt{3}</math>. For example, if <math>\xi_i = 9.014959755</math>, then <math>\ell_i = 5.204789446</math> and <math>[m^*_\mathrm{core}]^{2 / 3} = 2.893199794</math>. | |||
=See Also= | =See Also= | ||
Chapters examining various aspects of <math>(n_c, n_e) = (5, 1)</math> Bipolytropes: | |||
<ul> | |||
<li> | |||
[[SSC/Structure/BiPolytropes/Analytic51|Equilibrium Structure]]; also referred to as the analytic solution obtained by Eggleton, Faulkner & Cannon (1998). | |||
</li> | |||
<li> | |||
[[SSC/Stability/BiPolytropes#Free-Energy_Stability_Evaluation|Free-Energy Stability Evaluation]] <math>\Leftarrow</math> Marginally unstable configurations do not sit at <math>\nu_\mathrm{max}</math>. | |||
</li> | |||
<li> | |||
Effort to solve LAWE … | |||
<ul> | |||
<li>[[SSC/Stability/BiPolytropes#Interface_Conditions|Establish Interface Conditions]] <math>\Leftarrow</math> May need to revisit these adopted interface conditions.</li> | |||
<li>[[SSC/Stability/BiPolytropes#Numerical_Integration|Numerical Integration]]</li> | |||
<li>[[SSC/Stability/BiPolytropes#Fundamental_Modes|Fundamental-Mode eigenvectors]] and plots of example eigenfunctions for marginally unstable configurations. <math>\Leftarrow</math> Marginally unstable configurations do not sit at <math>\nu_\mathrm{max}</math>.</li> | |||
</ul> | |||
</li> | |||
<li> | |||
[[SSC/Stability/BiPolytropes#Variational_Principle|Employ Variational Principle]] | |||
</li> | |||
<li> | |||
[[Appendix/Ramblings/NonlinarOscillation|B-KB74 Conjecture in the context of pressure-truncated n = 5 Polytrope]] | |||
</li> | |||
</ul> | |||
{{ SGFfooter }} | {{ SGFfooter }} | ||
Latest revision as of 19:18, 14 August 2021
Examine B-KB74 Conjecture in the Context of Bipolytropes
| B-KB74 Conjecture RE: Bipolytrope (nc, ne) = (5, 1) |
|---|
In §6 of their paper, G. S. Bisnovatyi-Kogan & S. I. Blinnikov (1974; hereafter, B-KB74) have suggested that "… a static configuration close to an extremum of the [mass-radius equilibrium] curve may be considered as a perturbed state of a model of the same mass situated on the other side of the extremum. The difference of the two models approximately represents the eigenfunction of the neutral mode." In an accompanying discussion we have demonstrated that this "B-KB74 conjecture" applies exactly in the context of an analysis of the stability of pressure-truncated, n = 5 polytropes. We know that it applies exactly in this case because, along the n = 5 mass-radius sequence, the eigenfunction of the fundamental mode of radial oscillation is known analytically.
Here we turn to the B-KB74 conjecture to assist us in examining the stability of models that lie along the sequence of bipolytropes with . As Eggleton, Faulkner, and Cannon (1998, MNRAS, 298, 831) discovered — and we have independently detailed — the internal structure of these bipolytropes can be defined analytically. But, as far as we have been able to determine, nothing is known about the eigenvectors describing their natural modes of radial oscillation. Guided by the B-KB74 conjecture, we hope to be able to determine the eigenfunction of the fundamental mode of radial oscillation for the model that sits at the maximum-mass "turning point" along each sequence; our expectation is that each of these models is marginally [dynamically] unstable.
Properties of Equilibrium Models
| Figure 1 |
Drawing from our accompanying detailed discussion, Figure 1 shows how the fractional core mass, varies with the fractional core radius, , for seven equilibrium model sequences of bipolytropes having . Along each sequence, the value of the radial location of the interface, , varies while the mean-molecular-weight ratio at the interface, , is held fixed at the value that labels the sequence. A green circular marker has been placed at the maximum-mass "turning point" of each sequence for which ; no such point exists along sequences having .
Original Manipulations
As has been shown in our accompanying discussion, the value of at which the maximum-mass turning point resides along each sequence is given by a root of the analytic expression,
|
|
|
|
where,
|
|
|
|
|
|
|
|
|
|
|
|
In what follows, we start from scratch and re-derive an analytic expression from which the value of can be obtained. At the conclusion of this "new" derivation, we present a table in which high-precision determinations of have been recorded for a range of values of . The last column of this table lists "earlier fractional errors" of our determinations via this earlier-derived analytic expression. The tiny errors signal that our more recently derived expression (below) is identical to this earlier expression (immediately above).
New Derivation
Expressions for q and ν
Following through the numbered steps that we have used to construct a bipolytrope with , and adopting the substitute notation,
and
we seek expressions for and . [Example #1 numerical evaluation is for and , which implies that and .]
Focusing, first, on the core, we find,
|
|
|
, |
|
|
|
, |
|
Then moving across the interface, through the envelope, and ultimately to the surface of the configuration, we find,
|
|
|
, |
|
|
|
, |
|
|
|
|
|
|
|
|
|
|
|
|
|
|
|
|
|
|
|
|
|
Now, putting all these steps together, we can generate the pair of desired model-parameter expressions:
|
|
|
|
|
|
|
|
|
|
|
|
Let's fully spell out the final function by incorporating the "q" function:
|
|
|
|
where,
|
|
|
|
For later use, note that,
|
|
|
|
|
|
|
|
Differentiate ν with Respect to ℓI
In order to determine the maximum value of the fractional core mass, we next need to determine the derivative of with respect to . [Example #2: Borrowing from Table 1, above, in this case our numerical evaluation is for and , for which the expected maximum mass-fraction is, . This implies that and .]
Let's rewrite the function as,
|
|
|
|
where,
|
|
|
|
|
|
|
|
|
|
|
|
|
NOTE: |
|
|
Then we have,
|
|
|
|
|
|
|
|
|
|
|
EXCELLENT! |
Furthermore,
|
|
|
|
and,
|
|
|
|
and,
|
|
|
|
|
|
|
|
|
|
|
|
Now, along an equilibrium sequence of fixed , the point of maximum core mass is located at the point where,
|
|
|
|
|
|
|
|
|
|
|
|
|
|
|
|
|
|
|
|
|
|
|
|
|
|
|
|
|
|
|
|
|
|
|
|
|
|
|
|
|
|
|
|
|
|
|
|
|
|
|
EXCELLENT! |
Hence,
|
|
|
|
|
|
|
|
|
|
|
|
|
|
|
|
|
|
|
|
|
|
|
|
|
|
|
|
The difference between the LHS and RHS — — is larger than our previously obtained "difference" by the factor, . We are therefore satisfied that, for a given value of , the value of associated with the model that has the maximum core mass-fraction is identified when the LHS and RHS of this final expression match.
Note that, in reaching this final expression, we have recognized that,
|
|
|
|
and have introduced the short-hand notation,
|
|
|
|
Examples
By trial-and-error, we have searched for accurate pairs; this, of course gives us the desired pairs. When an accurate pair has been discovered, we should find that the LHS and RHS of the following expression should be equal to one another, to a very high degree of precision.
|
|
|
|
In the following table, the first row of numbers (associated with ) shows results from the relatively crude "trial" Example #2 that we used, above as we debugged our derivation of this analytic expression. The second row of numbers improves on this initial guess, while the other rows give high-precision results for other selected values of .
In a separate earlier derivation, we determined that the analytic expression from which the value of can be derived is,
|
|
|
|
The last column of the table — labeled "earlier fractional error" — shows the result of subtracting the LHS of this earlier expression from its RHS, then dividing by the LHS. Because our derived "earlier fractional error" values are tiny, we are convinced that these two separately derived expressions are indeed identical.
Model Pairings
Guided by our separate examination of the K-BK74 conjecture in the context of pressure-truncated n = 5 polytropes, we will adopt the small (and always positive) parameter,
|
|
|
|
(In our separate discussion, the small parameter was labelled, , rather than .) For a given "m3" equilibrium sequence, we seek two different equilibrium models that have the same value of , but different values of the interface parameter, and . Guided also by the Selected Pairings table from this separate examination, Table 2 (below) provides some model pairs (i.e., models with the same fractional core-mass) that lie close to the maximum value.
In a separate chapter, we have described in detail how to construct equilibrium models of bipolytropes that have ; each model is uniquely defined by the parameter-pair, . In Table 2 of that chapter, we have provided plots that show how the density, pressure, and "interior mass" vary with throughout the interior of nine example equilibrium models. We chose models having and ; and for each value of these interface locations, we illustrated and . We have followed the same sequence of steps to construct the two equilibrium models specified by the Pairing B parameters that have been listed in our current Table 2 (immediately above); that is, we used and . The plot at the bottom of our current Table 2 shows how the "plus" model's radial location varies with the enclosed mass-fraction, . (There is no need to show a plot of the "minus" model's mass profile because its structure was purposely chosen to be very similar to the "plus" model's profile.)
Eigenfunction
The two Pairing B models have (almost) identical fractional core masses — specifically, — and this chosen mass-fraction is just below the maximum value associated with the model sequence, (see the degenerate, Pairing A). With these two mass-radius structural profiles, we are positioned to implement the K-BK74 conjecture. Letting represent the run of radius with mass-fraction in the "plus" model and letting represent the run of radius with mass-fraction in the "minus" model, the amplitude of the eigenfunction at each value of should be very close to the value,
|
|
|
|
Table 3 titled, "Eigenfunction," provides this eigenfunction amplitude at twenty-three different mass-fraction locations throughout our Pairing B model(s). For example, at the interface location where (for both models), our pair of models give, respectively, and ; this means that, at the interface, , as recorded in Table 3. Similarly, at the surface we find that, and which means that, , as recorded in Table 3.
|
Table 3: Eigenfunction |
|||||
|---|---|---|---|---|---|
The (Table 3) eigenfunction that we have constructed via the K-BK74 conjecture has several notable features:
- Moving from the center of the configuration out to the core-envelope interface, the eigenfunction exhibits a smooth, mild steady increase.
- Moving from the interface out to the surface of the configuration, the eigenfunction is essentially constant; this means that the envelope expands/contracts homologously.
- At the interface the core transitions to the envelope via (essentially) a step function; for the selected model sequence , the eigenfunction amplitude jumps by a factor of . It seems reasonable to suspect that the existence of, and magnitude of, this jump is related to our choice of the size of the μ-jump (0.310); but it also may depend on the values of the adiabatic exponents, .
- Also, following the B-KB74 conjecture, the implicit assumption is that the eigenfrequency associated with this marginally unstable model is zero.
Things to do in an effort to follow up on these recognized attributes of the eigenfunction:
- Does the behavior (mild steady increase) of the core eigenfunction resemble, in any fashion, the analytically determined eigenfunction for the marginally unstable, pressure-truncated, n = 5 Polytrope?
- Ledoux & Walraven (1958) have examined how the LAWE needs to be modified if there is a discontinuity at a core-envelope interface. Did they just examine step-function changes in the adiabatic index, or did they also look at jumps in μ?
- In our earlier attempt to solve the LAWE for 51 bipolytropes, we did not allow the possibility of a step function at the interface for the eigenfunction. If you flip the Figure 5 and Figure 6 curves upside down, and insert a step function, you can argue that these earlier eigenfunctions resemble our new one.
- Is it easy to show that a constant eigenfunction throughout the envelope readily satisfies the surface boundary condition?
Where Do We Go From Here?
Pure Speculation
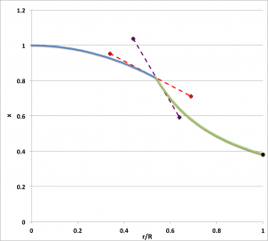
In a separate discussion, we numerically solved the LAWE for a selected set of (5, 1) bipolytrope models while imposing certain (perhaps unjustified) constraints. One such derived eigenfunction is shown in the left-hand panel of the following figure. If we "flip" this eigenfunction upside, down, and insert a step function at the interface location — see the right-hand panel of the same figure — we obtain an eigenfunction that very roughly resembles the eigenfunction that we have just obtained via activation of the B-KB74 conjecture.
LAWE for (nc, ne) = (5, 1) Models
Following closely the accompanying discussion, the relevant LAWE for both the core and the envelope can be written in the generic form,
|
|
|
|
where,
|
|
|
|
, |
|
|
|
The identical expression in a more compact form is,
|
|
|
|
where,
|
|
|
|
, |
|
|
|
and |
|
|
|
Core
Tuned LAWE for Core
From the equilibrium structure of n = 5 polytropes, we know that throughout the core,
|
|
|
|
|
|
|
|
|
|
|
|
Hence the coefficients,
|
|
|
|
|
|
|
and |
|
|
|
and the terms in the LAWE that involve derivatives of the fractional displacement, , become,
|
|
|
|
and |
|
|
|
Therefore, dividing the LAWE (for the core) through by gives,
|
|
|
|
Trial Core Eigenvector
Borrowing from our analysis of the stability of pressure-truncated n = 5 polytropes, for the marginally unstable model let's try a radial displacement function of the form,
|
|
|
|
Plugging this guess into the LAWE and noting that (for the n = 5 core), we find,
|
RHS |
|
|
|
|
|
|
|
|
|
|
|
|
|
|
In order for this RHS to be zero, we therefore need, . Okay. This matches our earlier derivation. In order to compare this trial eigenfunction with the "core" portion of the eigenfunction that we obtained empirically via the B-KB74 conjecture, we need to know how varies with .
Well we know that,
|
|
|
|
|
|
|
|
|
|
|
|
|
|
|
|
|
|
|
|
Hence, the trial eigenfunction may be written as,
|
|
|
|
Now, from above, we know that,
|
|
|
|
|
|
|
|
where, . For example, if , then and .
See Also
Chapters examining various aspects of Bipolytropes:
- Equilibrium Structure; also referred to as the analytic solution obtained by Eggleton, Faulkner & Cannon (1998).
- Free-Energy Stability Evaluation Marginally unstable configurations do not sit at .
-
Effort to solve LAWE …
- Establish Interface Conditions May need to revisit these adopted interface conditions.
- Numerical Integration
- Fundamental-Mode eigenvectors and plots of example eigenfunctions for marginally unstable configurations. Marginally unstable configurations do not sit at .
- Employ Variational Principle
- B-KB74 Conjecture in the context of pressure-truncated n = 5 Polytrope
|
Appendices: | VisTrailsEquations | VisTrailsVariables | References | Ramblings | VisTrailsImages | myphys.lsu | ADS | |

