SSC/Stability/BiPolytropes/HeadScratching
Broader Examination of Bipolytrope Stability
| Our Broader Analysis |
|---|
Overview
of Pressure-Truncated Polytropes |
|---|
We expect the content of this chapter — which examines the relative stability of bipolytropes — to parallel in many ways the content of an accompanying chapter in which we have successfully analyzed the relative stability of pressure-truncated polytopes. Figure 1, shown here on the right, has been copied from a closely related discussion. The curves show the mass-radius relationship for pressure-truncated model sequences having a variety of polytropic indexes, as labeled, over the range . (Another version of this figure includes the isothermal sequence.) On each sequence for which , the green filled circle identifies the model with the largest mass. We have shown analytically that the oscillation frequency of the fundamental-mode of radial oscillation is precisely zero† for each one of these maximum-mass models. As a consequence, we know that each green circular marker identifies the point along its associated sequence that separates dynamically stable (larger radii) from dynamically unstable (smaller radii) models.
†In each case, the fundamental-mode oscillation frequency is precisely zero if, and only if, the adiabatic index governing expansions/contractions is related to the underlying structural polytropic index via the relation, , and if a constant surface-pressure boundary condition is imposed.
In another accompanying chapter, we have used purely analytic techniques to construct equilibrium sequences of spherically symmetric bipolytropes that have, . For a given choice of — the ratio of the mean-molecular weight of envelope material to the mean-molecular weight of material in the core — a physically relevant sequence of models can be constructed by steadily increasing the value of the dimensionless radius at the core/envelope interface, , from zero to infinity. Figure 2, whose content is essentially the same as Figure 1 of this separate chapter, shows how the fractional core mass, , varies with the fractional core radius, , along sequences having seven different values of , as labeled: 1 (black), ½ (dark blue), 0.345 (brown), ⅓ (dark green), 0.316943 (purple), 0.309 (orange), and ¼ (light blue).
When modeling bipolytropes, the default expectation is that an increase in along a given sequence will correspond to an increase in the relative size — both the radius and the mass — of the core. This expectation is realized along the Figure 2 sequences that have the largest mean-molecular weight ratios: = 1 and ½. But the behavior is different along the other five illustrated sequences. For sufficiently large , the relative radius of the core begins to decrease; along each sequence, a solid purple circular marker identifies the location of this turning point in radius. Furthermore, along sequences for which , eventually the fractional mass of the core reaches a maximum and, thereafter, decreases even as the value of continues to increase; a solid green circular marker identifies the location of this maximum mass turning point along each of these sequences. (Additional properties of these equilibrium sequences are discussed in yet another accompanying chapter.)
The principal question is: Along bipolytropic sequences, are maximum-mass models associated with the onset of dynamical instabilities?
Planned Approach
| Figure 2: Equilibrium Sequences of Bipolytropes with and Various |
|
|---|---|
|
|
Ideally we would like to answer the just-stated "principal question" using purely analytic techniques. But, to date, we have been unable to fully address the relevant issues analytically, even in what would be expected to be the simplest case: bipolytropic models that have . Instead, we will streamline the investigation a bit and proceed — at least initially — using a blend of techniques. We will investigate the relative stability of bipolytropic models having whose equilibrium structures are completely defined analytically; then the eigenvectors describing radial modes of oscillation will be determined, one at a time, by solving the relevant LAWE(s) numerically. We are optimistic that this can be successfully accomplished because we have had experience numerically integrating the LAWE that governs the oscillation of:
- Isolated n = 3 polytropes — including a quantitative comparison against Schwarzschild's (1941) published work;
- Pressure-truncated isothermal spheres — including a quantitative comparison against the published analysis of Taff & Van Horn (1974); and
- Pressure-truncated n = 5 polytropes.
A key reference throughout this investigation will be the paper by J. O. Murphy & R. Fiedler (1985b, Proc. Astr. Soc. of Australia, 6, 222). They studied Radial Pulsations and Vibrational Stability of a Sequence of Two Zone Polytropic Stellar Models. Specifically, their underlying equilibrium models were bipolytropes that have . In an accompanying chapter, we describe in detail how Murphy & Fiedler obtained these equilibrium bipolytropic structures and detail some of their equilibrium properties.
Here are the steps we initially plan to take:
- Governing LAWEs:
- Identify the relevant LAWEs that govern the behavior of radial oscillations in the core and, separately, in the envelope. Check these LAWE specifications against the published work of Murphy & Fiedler (1985b).
- Determine the matching conditions that must be satisfied across the core/envelope interface. Be sure to take into account the critical interface jump conditions spelled out by P. Ledoux & Th. Walraven (1958), as we have already discussed in the context of an analysis of radial oscillations in zero-zero bipolytropes.
- Determine what surface boundary condition should be imposed on physically relevant LAWE solutions, i.e., on the physically relevant radial-oscillation eigenvectors.
- Initial Analysis:
- Choose a maximum-mass model along the bipolytropic sequence that has, for example, . Hopefully, we will be able to identify precisely (analytically) where this maximum-mass model lies along the sequence. Yes! Our earlier analysis does provide an analytic prescription of the model that sits at the maximum-mass location along the chosen sequence.
- Solve the relevant eigenvalue problem for this specific model, initially for and initially for the fundamental mode of oscillation.
Summary of (Inadequate) Detailed Analyses
| Key Models Along the Equilibrium Sequence | ||||||
|---|---|---|---|---|---|---|
| Significance | Figure Marker | |||||
| 4.9379 | 0.0482 | 0.1394 | 40.945 | 43.437 | Dark-green circular marker in Figs. 2, 4, & 5 | |
| 2.766 | 0.1189 | 0.1107 | 16.13 | 39.14 | (inadequate) LAWE analysis | Orange triangular marker in Figs. 3, 4, & 5 |
| 2.2805 | 0.1246 | 0.0931 | 12.648 | 38.970 | Light-blue diamond marker in Figs. 4 & 5 | |
| 1.9139 | 0.1265 | 0.0749 | 10.452 | 39.058 | Purple circular marker in Figs. 2, 4, & 5 | |
Attempts to Identify Marginally Unstable (nc, ne) = (5, 1) Bipolytropes
| Figure 3: Conflicting Instability Regions | |||||||||
|---|---|---|---|---|---|---|---|---|---|
- Virial Analysis
- Solving the Relevant LAWE:
- Review of the Analysis by Murphy & Fiedler (1985b)
- Radial Oscillations of 51 Models Interface probably not handled correctly here.
- Variational Principle
- K-BK74 Conjecture
Through this analysis, we were quite successful at generating a reasonably shaped radial-oscillation eigenfunction for the equilibrium model that lies along the sequence at the maximum mass fraction, . We obtained the eigenfunction by subtracting the structural profile of one model (immediately to the left of this maximum) from the structural profile of a separate model (immediately to the right of this maximum). But, after doing so, we realized that the result could not be physically justified. Although we had been careful to ensure that the core mass fraction was identical in the two separate models, we had not paid attention to the total mass; it had not been held fixed. Hence, we cannot claim to have performed a valid dynamical perturbation of models in the vicinity of .
The eigenfunction that was constructed in this manner was nevertheless eye-opening! It appears to contain a sizable step function at the interface; that is to say, it appears as though the radial-displacement function at the surface of the core is offset (discontinuously) from the radial-displacement function at the base of the envelope. We had not allowed this to happen in our separate investigation of Radial Oscillations of 51 Models.
We will attempt to incorporate these new insights into our analyses that follow.
Rethink Evolution and Stability
| Figure 4: Mass vs. Radius | Figure 5: ν vs. q |
|---|---|
|
|
|
Consider a system that has and that slowly evolves along the appropriate (light blue), constant equilibrium sequence shown in Figure 3. It begins its evolution with a very small core — that is, with nearly zero, and with and both very small. The location of the core-envelope interface, , moves slowly outward (in Lagrangian mass space) as the ashes left from hydrogen burning build up the mass of the core at the expense of the envelope. This means that (slow) evolution proceeds along the equilibrium sequence in a counter-clockwise direction.
Schwarzschild and his collaborators noticed that, as an evolution proceeds along an equilibrium sequence for which (in our example case) , the fractional core mass increases only up to a limiting value, ; in our case, . As the core-envelope interface location, , attempts to increase to a value larger than the value associated with the model at , something rather drastic must happen — at least on a secular time scale associated with nuclear burning. We have wondered whether a dynamical instability is also encountered at this "turning point" along the equilibrium sequence. Up to now, all of our (inadequate) detailed analyses have been focused on securing an answer to this question.
As Figure 4 illustrates, along this same sequence, the normalized radius starts off small and it steadily grows as the evolution proceeds, but the normalized total mass starts off large and initially decreases. In reality, we expect the system to conserve its total mass throughout the evolution. Given that the mass has been normalized via the expression,
we appreciate that a decrease in the dimensionless mass (as depicted in Fig. 4) can quite naturally be attributed to a steady increase in the specific entropy of the core material, . This evolution along the equilibrium sequence will happen on a secular, rather than dynamical, time scale that is set by the rate at which increases — that is, at a rate set by nuclear burning. But at each point along the sequence, we can check to see whether the equilibrium configuration is dynamically stable. We expect that the turning point along the sequence is an indication of transition from a (dynamically) stable to (dynamically) unstable state. We should be able to apply the B-KB74 conjecture to get a good idea of what the unstable eigenfunction looks like at this turning point.
Differentiate M* With Respect to ℓi
In an accompanying discussion titled, New Derivation, we examined how the core mass-fraction varies with . Here, we want to examine how the total mass varies with . In what follows, we borrow heavily from various analytic expressions that have been obtained via this separate New Derivation; and, as in this earlier analysis, numerical evaluations (in parentheses) come from Example #1 for which, and , which implies that and .
|
|
|
|
|
|
|
, |
where,
|
|
|
, |
|
|
|
, |
|
|
|
|
|
|
|
|
|
|
|
|
Now, the differentiation:
|
|
|
|
|
|
|
|
|
|
|
|
|
|
|
|
|
|
|
|
|
|
|
|
|
|
|
|
|
|
|
|
|
|
|
|
|
|
|
|
|
|
|
|
Hence,
|
|
|
|
|
|
|
|
|
|
|
|
|
|
|
|
Selected Models
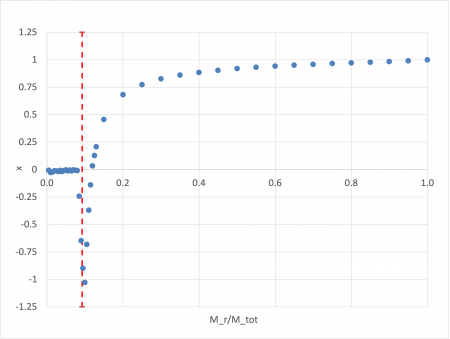
Via a crude iterative technique, we have determined that the derivative, , goes to zero when (to eight significant digits); this is therefore the minimum-mass model — identified by the light-blue diamond-shaped marker — along the sequence shown above in Figure 4. A few other properties of this model "A" are recorded in Table 2. For example, ; and its position (also marked by a light-blue diamond) along the Figure 5 . The lower-left figure in Table 2 shows how varies with enclosed mass-fraction for this minimum-mass model "A"; the core-envelope interface — where the blue and red segments of the plotted curve meet — is located at .
In the context of our analysis of the stability of pressure-truncated n = 5 polytropes, we showed how the B-KB74 conjecture can be used to illustrate the approximate shape of the radial eigenfunction of the marginally unstable mode. Proceeding along the lines of this independent discussion, here we have identified two equilibrium models — labeled "B1" and "B2" in Table 2 — that lie near to, but on either side of, the minimum-mass model along the equilibrium sequence and that have identical total masses: in this case, (identical, to nine significant digits). Using the mass-fraction, , as the Lagrangian coordinate for both models, we subtracted the profile of model "B1" from the profile of model "B2" and divided this difference by the average profile, we obtained the approximate neutral-mode eigenfunction, , displayed in the lower-right figure of Table 2.
Things to note about this iteratively derived, approximate neutral-mode eigenfunction:
- The radial-displacement function, , has been normalized to unity at the surface.
- The location of the model "A" core-envelope interface has been marked by the vertical, red-dashed line segment.
- Throughout the core, is very small, but measurably negative.
- Moving inward through the envelope, appears to drop smoothly from "plus" one (at the surface) to approximately "minus" one (at the interface).
- Because passes through zero once inside the envelope, this cannot be the eigenfunction of the fundamental mode of radial oscillation; instead, it is likely associated with the 1st overtone, as discussed for example in connection with Schwarzschild's modeling of radial eigenfunctions of n = 3 polytropes.
With regard to the second itemized note, we should point out that, although models "B1" and "B2" have identical total masses, their core mass-fraction — that is, the location of the core-envelope interface as defined by the Lagrangian mass marker — is different: and . As a result, the B-KB74 conjecture should not be expected to apply in the immediate vicinity of the core-envelope interface.
LAWE
Let's perform the LAWE integration in two parts: (1) Integrate from the center (where the derivative of the displacement function must be zero), through the core, up to the core-envelope interface; and (2) integrate from the surface (where the logarithmic derivative of the displacement function is negative one), through the envelope, down to the core-envelope interface. Examine the discontinuity that results and see whether it makes sense in terms of the required "matching conditions" at the interface.
Throughout the Configuration
From the last couple of lines of an accompanying Foundation presentation, the relevant LAWE may be written as,
|
|
|
|
|
|
|
|
|
|
|
|
where,
|
|
|
|
, |
|
|
|
and |
|
|
|
|
|
|
|
, |
|
|
|
||||
From a related discussion of interior structural profiles, we appreciate that throughout the core we have,
|
|
|
|
|
|
|
|
|
|
|
|
|
|
|
|
and, throughout the envelope we have,
|
|
|
|
|
|
|
|
|
|
|
|
|
|
|
|
Surface Boundary Condition
In an effort to ensure finite-amplitude fluctuations at the surface, we will enforce the condition,
|
|
|
at |
that is,
|
|
|
at |
where the asterisks signal that we have employed the same variable normalizations as have been adopted in our accompanying Foundations discussion. Since our analysis, here, is focused on the marginally unstable (minimum-mass) configuration in which we expect , the surface (envelope) constraint becomes,
|
|
|
at |
Interface
Drawing from an accompanying discussion, the matching condition at the interface is given by the expression,
|
|
|
|
Given that and , this becomes,
|
|
|
|
Central Boundary Condition
The central boundary condition is,
|
|
|
|
In order to kick-start the integration outward from the center of the configuration, we will following the procedure that has been detailed in an accompanying discussion. At the center of the configuration , we label the fractional displacement function as — value to be set later, perhaps in an effort to help secure the proper matching conditions at the interface — then we will draw on the derived power-series expression to determine the value of the displacement function at the first radial grid line, , away from the center. Specifically, given that , and in the core, we will set,
|
|
|
|
where,
|
|
|
|
See Also
- Equilibrium Structure of Bipolytropes
- SSC/Stability/BiPolytropes "Our Broader Analysis" tile used to point to this chapter.
- B-KB74 Conjecture RE: Bipolytrope
|
Appendices: | VisTrailsEquations | VisTrailsVariables | References | Ramblings | VisTrailsImages | myphys.lsu | ADS | |



