SSC/Structure/BiPolytropes/Analytic51Renormalize: Difference between revisions
| Line 2,858: | Line 2,858: | ||
<table border="1" align="center" cellpadding="8" width="80%"> | <table border="1" align="center" cellpadding="8" width="80%"> | ||
<tr> | <tr> | ||
<td align="center" bgcolor="pink">Table II extracted from p. 468 of<br />{{ Chatterji51figure }}</td> | <td align="center" colspan="2" bgcolor="pink">Table II extracted from p. 468 of<br />{{ Chatterji51figure }}</td> | ||
</tr> | </tr> | ||
<tr> | <tr> | ||
<td align="center">''Amplitudes of the displacement functions for three modes, assuming <math>\alpha = 0.6</math></td> | <td align="center" colspan="2">''Amplitudes of the displacement functions for three modes, assuming <math>\alpha = 0.6</math></td> | ||
</tr> | </tr> | ||
<tr><td align="left"> | <tr><td align="left"> | ||
| Line 2,902: | Line 2,902: | ||
</pre> | </pre> | ||
</div> | </div> | ||
</td> | |||
<td align="center"> | |||
[[File:Chatterji51Summary.png|350px|Chatterji's Figure 1]] | |||
</td> | </td> | ||
</tr> | </tr> | ||
Revision as of 19:17, 30 December 2022
BiPolytrope with (nc, ne) = (5, 1)
This chapter very closely parallels our original analytic derivation — see also, 📚 P. P. Eggleton, J. Faulkner, & R. C. Cannon (1998, MNRAS, Vol. 298, issue 3, pp. 831 - 834) — of the structure of bipolytropes in which the core has an polytropic index and the envelope has an polytropic index. Our primary objective, here, is to renormalize the principal set of variables, replacing the central density with the configuration's total mass, so that the mass is held fixed along each model sequence.
From Table 1 of our original analytic derivation, we see that,
where,
Steps 2 & 3
Based on the discussion presented elsewhere of the structure of an isolated polytrope, the core of this bipolytrope will have the following properties:
The first zero of the function and, hence, the surface of the corresponding isolated polytrope is located at . Hence, the interface between the core and the envelope can be positioned anywhere within the range, .
Step 4: Throughout the core
|
Specify: and |
|
|||
|
|
|
|
|
|
|
|
|
|
|
|
|
|
|
|
|
|
|
|
|
|
|
|
|
Specify: and |
|
|
||
|
|
||
|
|
||
|
|
||
|
|
||
|
|
||
|
|
||
|
|
|
New Normalization
|
After applying this new normalization, we have throughout the core,
|
|
||
|
|
||
|
|
||
|
|
Step 8: Throughout the envelope
Given (from above) that,
we have throughout the envelope,
|
|
|
|
|
|
|
|
|
|
|
|
|
|
|
|
|
|
|
|
|
|
|
|
|
|
|
|
|
|
|
|
|
|
|
|
|
|
|
|
|
|
|
|
|
|
|
|
Adopting the new normalization then gives,
|
|
|
|
|
|
|
|
|
|
|
|
|
|
|
|
Behavior of Central Density Along Equilibrium Sequence
Each equilibrium sequence will be defined as a sequence of models having the same jump in the mean-molecular weight, . Along a given sequence, we vary the location of the core/envelope interface, . Our desire is to analyze the behavior of the central density, while holding the total mass fixed, as the location of the interface is varied.
The central density is given by the expression,
|
|
where,
In order to evaluate for a given specification of the interface location, , we need to know that,
Keep in mind, as well, that,
Model Pairings
Here we work in the context of the B-KB74 conjecture. We will stick with the sequence corresponding to , and continue to examine the model pairings (B1 and B2) associated with the degenerate model (A) at . Specifically …
Selected Pairings along the Sequence |
||||
|---|---|---|---|---|
| Pairing | ||||
| A | ||||
| B1 | ||||
| B2 | ||||
| Envelope | |||||
| B1 | B2 | ||||
| 0.3372001 | 0.1703455 | 0.015464 | 0.1743134 | 0.0151654 | +0.00487 |
| 0.35 | 0.3073375 | 0.0279002 | 0.309463 | 0.0269236 | +0.00891 |
| 0.40 | 0.5753765 | 0.0522328 | 0.576515 | 0.0501574 | +0.01013 |
| 0.45 | 0.748189 | 0.0679208 | 0.749101 | 0.0651726 | +0.01032 |
| 0.50 | 0.8885645 | 0.0806641 | 0.8893695 | 0.0773761 | +0.01040 |
| 0.55 | 1.0122575 | 0.091893 | 1.012999 | 0.088132 | +0.01045 |
| 0.60 | 1.126297 | 0.1022455 | 1.1269968 | 0.0980499 | +0.01047 |
| 0.65 | 1.2347644 | 0.1120922 | 1.2354345 | 0.1074841 | +0.01049 |
| 0.70 | 1.3405518 | 0.1216956 | 1.3411998 | 0.1166858 | +0.01051 |
| 0.75 | 1.4461523 | 0.131282 | 1.4467833 | 0.1258716 | +0.01052 |
| 0.80 | 1.5542198 | 0.1410924 | 1.5548378 | 0.1352725 | +0.01053 |
| 0.85 | 1.6683004 | 0.1514487 | 1.668908 | 0.1451967 | +0.01054 |
| 0.90 | 1.794487 | 0.1629039 | 1.7950862 | 0.1561743 | +0.01055 |
| 0.95 | 1.94764 | 0.1768072 | 1.9482325 | 0.1694982 | +0.01055 |
| 1.00 | 2.2820704 | 0.2071669 | 2.282658 | 0.1985936 | +0.01056 |
Attempt at Constructing Analytic Eigenfunction Expression
Background
In our accompanying discussion of eigenvectors associated with the radial oscillation of pressure-truncated polytropes, we derived the following,
| Exact Solution to the Polytropic LAWE | ||
|
|
and |
|
Drawing on the definition of for n = 5 polytropes, as given in an accompanying chapter, we deduce that,
|
|
|
|
|
|
|
|
|
|
|
|
|
|
|
|
And, given that for n = 1 polytropes,
we also find,
|
|
|
|
|
|
|
|
|
|
|
|
Core
Allowing for an overall leading scale factor, , a viable displacement function for the core of our bipolytropic configuration is,
|
|
|
|
Throughout the core, the corresponding Lagrangian radial coordinate, , is given by the expression,
|
|
For "model A" the range is,
|
SLOPE: What is the slope of the function, , at the interface?
where, for "model A," we have set and . Note as well that,
|
Envelope
As we have demonstrated in a separate structure discussion, the radial profile of the envelope of our bipolytropic configuration is governed by the modified sinc-function,
|
|
|
|
|
|
|
|
where, for "model A," and .
Again allowing for an overall leading scale factor, , a viable displacement function for the envelope of our bipolytropic configuration is,
|
|
|
|
|
|
|
|
|
|
|
|
Throughout the envelope, the corresponding Lagrangian radial coordinate is,
|
|
|
|
For "model A" the range is,
|
SLOPE: As we have detailed elsewhere, the slope of the function, , is related to the slope of at the interface via the expression,
In our case, and . Hence, from the point of view of the envelope displacement function, at the interface,
Now, at the interface of any bipolytrope, the ratio should have the same numerical value whether it is viewed from the point of view of the core or the envelope. Given that, for our particular "model A",
we should expect the slope of the envelope's displacement function at the interface to be,
|
Trial Displacement Function
The blue curve in the following figure results from plotting versus after setting the leading coefficient, . The red-dotted curve results from plotting versus after setting the leading coefficient, , and .
ASSESSMENT:
- Our analytically specified displacement function, , appears to be an excellent match to the displacement function obtained throughout the core by implementing the B-KB74 conjecture.
- At first glance, the plot of appears to provide a reasonably good fit to the approximate displacement function that we have obtained throughout the envelope by implementing the B-KB74 conjecture. But, in reality, there are two fatal flaws:
- We have presented the behavior of our analytically specified envelope displacement function only up to the radial coordinate, . Between this point and the surface, — where the argument of the cotangent, — the analytic function dives steeply to negative infinity. This violently departs from the behavior derived via the B-KB74 conjecture.
- While our analytically specified displacement function, , satisfies the "n = 1" polytropic LAWE, this satisfaction is destroyed by adding to the displacement function.
Let's examine the slope of the displacement function at the interface. From the perspective of the core, our analytic prescription for the displacement function matches the K-BK74-derived displacement function very well. An analytic evaluation of the slope at the inferface — as derived above — gives,
.
The black-dashed line segment that appears in the following figure has this slope and goes through the point of intersection; it appears to be tangent to the analytic displacement function, as expected. Alternatively, the orange-dashed line segment that appears in this same figure, also goes through the point of intersection, but it has a slope that matches our expectation for the envelope's displacement function; that is, it has a slope as derived of,
.
This orange-dashed line segment does not appear to lie tangent to the K-BK74-derived displacement function for the envelope.
2nd Trial
The relevant LAWE for the envelope is,
|
|
||
|
|
Here, we will guess a displacement function, , of the form,
|
|
|
|
where we will assume, quite generally, that . The first and second derivatives of are,
|
|
|
|
|
|
|
|
|
|
|
|
|
|
|
|
|
|
|
|
|
|
|
|
These match the expressions for and that we separately derived in a subsection labeled Attempt_4B of an accompanying discussion labeled. Plugging these three relations into the LAWE, then multiplying through by , gives,
|
|
|
|
|
|
|
|
|
|
|
|
|
|
|
|
|
|
|
|
|
|
|
|
|
|
|
|
|
|
|
|
|
|
|
|
|
|
|
|
|
|
Notice that if we set , the RHS of this LAWE expression goes to zero. This [thankfully] is as expected.
Numerical Integration Through Envelope
In an effort to numerically determine the eigenfunction of the envelope, we will follow the procedure described in an accompanying stability analysis of pressure-truncated polytropes to integrate the envelope from the core/envelope interface to the surface. In a closely related chapter titled, Radial Oscillations of n = 1 Polytropic Spheres, we have tried to find analytic expressions for the eigenvector of marginally unstable configurations.
Setup
Continuous Form of LAWE
We begin by writing our generic version of the polytropic LAWE,
then focus on the case — setting and — the relevant LAWE becomes,
|
|
|
📚 Chatterji (1951) — STEP 1 |
||||||||||||||||
|
If we focus on the case but leave (and, hence, ) unspecified, the relevant LAWE becomes,
If, in addition, we make the notation substitutions,
the relevant LAWE becomes,
which, apart from notation, is identical to equation (1) of 📚 Chatterji (1951). |
Now, in the broadest context,
|
|
|
|
|
|
|
|
|
|
|
|
|
|
|
|
|
📚 Chatterji (1951) — STEP 2 |
|||||||||||||
|
In the context of an isolated, polytrope, the appropriate parameter values are, and , in which case,
and the relevant LAWE becomes,
which, again apart from notation, is identical to equation (2) of 📚 Chatterji (1951); see also the (unnumbered) equation in the middle of the left-hand-column of p. 223 in 📚 Murphy & Fiedler (1985b). |
If we set (and correspondingly set , the LAWE we becomes,
|
|
||
|
|
Multiplying through by , we can write,
|
|
Discrete Form of LAWE
In order to integrate this 2nd-order ODE numerically, we will build from the more general expression for polytropes used in our separate development of a finite-difference scheme, namely,
|
|
|
|
Making the notation substitutions, , we have instead,
|
|
|
|
Now, adopting the finite-difference expressions,
|
|
|
and, |
|
|
|
|
the discrete form of the LAWE becomes,
|
|
|
|
When applied specifically to an , polytropic configuration, we should insert the following specific expressions:
|
|
|
|
|
|
|
|
|
|
|
|
|
|
|
|
Pressure-Truncated n = 1 Polytrope
In the case of an isolated polytrope, we must set ; in addition, it is customary to set . The relevant LAWE is, then,
|
|
Review of Trial Analytic Eigenfunction
This is the same 2nd-order ODE that we derived in a separate discussion; there it was accompanied by the surface boundary condition,
|
|
= |
|
|
|
= |
|
From, for example, a separate succinct demonstration, we appreciate that if the displacement function is assumed to be,
|
|
|
|
|
… that is,
in which case,
and,
Hence,
|
the LAWE reduces to …
| LAWE |
|
ASSESSMENT:
- If we set , the right-hand-side of this expression goes to zero — and, hence, the LAWE is satisfied — for any chosen truncation radius in the range, . (We have not included the isolated polytrope because blows up at its surface, .)
-
At the surface, , the slope of this trial eigenfunction is,
By contrast, as stated above, the eigenvalue problem will be properly solved only if the surface slope is,
= = = These two slopes do not appear to be the same, for any allowed choice of . We conclude, therefore, that no model along the sequence of pressure-truncated polytropes is marginally unstable.
Determining Discrete Representation of Eigenfunction
Let's numerically integrate the discrete form of the LAWE over the radial coordinate range, . Following our discussion of the more general polytropic case, we will kickstart integration from the center, outward, via the expression,
|
|
|
|
where, |
|
|
|
Here, we will restrict our investigation to the case where , in which case, , , and
|
|
|
|
|
EXAMPLE: , , ; evaluated over range, .
|
Isolated n = 1 Polytrope
If we integrate all the way out to the natural, zero-pressure surface of our polytrope, then and — as derived in our discussion of the equilibrium structure of n = 1 polytropes — . In line with our discussion of Schwarzschild's model of oscillations in polytropes, we therefore expect the boundary condition at the surface of our configurations to be given by the expression,
|
|
||
|
|
as reviewed immediately above.
|
📚 Chatterji (1951) — STEP 3 |
|||||||||||||||||||||||||||||||
|
Here we examine what the boundary condition should be at the surface of an isolated polytrope. Given that, quite generally in the context of isolated polytropes,
the surface boundary condition is,
Considerations:
which we interpret to mean,
He goes on to say, "As the adiabatic approximation breaks down near the boundary we have not strictly followed this condition." |
This should be compared with the finite-difference representation of the logarithmic derivative, namely,
|
|
|
|
CAUTION! Because, for each guess of , the eigenfunction climbs (or plummets) rapidly as we approach the surface, in practice we evaluated the finite-difference representation of the logarithmic derivative at a zone location that is a bit inside of the actual surface; for example, when we divided the equilibrium configuration into grid zones, we evaluated the "surface" derivative at zone number 97.
Here we have adopted an analysis that closely resembles our discussion of the analysis of polytropes that was published by 📚 Schwarzschild (1941). Here we have divided our model into radial zones and, using this algorithm, integrated the LAWE from the center of the configuration to the surface, for , and approximately 40 different chosen values of the frequency parameter across the range, . The radial displacement functions resulting from these integrations are presented in the following figure as an animation sequence. The specified value of is displayed at the top of each animation frame, and the resulting displacement function, , is traced by the small, red circular markers in each frame.
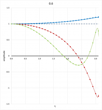
| Table II extracted from p. 468 of L. D. Chatterji (1951) Radial Oscillations of a Gaseous Star of Polytropic Index I Publication of the Indian National Science Academy, Vol. 17, No. 6, pp. 467 - 470 |
|
| Amplitudes of the displacement functions for three modes, assuming | |
1st 2nd Abscissa Fundamental Overtone Overtone 0.0 1.000000 1.000000 1.000000 0.1 1.000169 0.998882 0.996820 0.2 1.000677 0.995518 0.987281 0.3 1.001525 0.989874 0.971386 0.4 1.002716 0.981890 0.949136 0.5 1.004251 0.971495 0.920555 0.6 1.006143 0.958596 0.885671 0.7 1.008389 0.943052 0.844515 0.8 1.011009 0.924713 0.797168 0.9 1.014006 0.903389 0.743728 1.0 1.017390 0.878859 0.684350 1.1 1.021175 0.850865 0.619257 1.2 1.025374 0.819105 0.548757 1.3 1.030004 0.783221 0.473277 1.4 1.035102 0.742868 0.393396 1.5 1.040853 0.697654 0.309941 1.6 1.047084 0.646920 0.223844 1.7 1.053810 0.590042 0.136419 1.8 1.061066 0.526318 0.049379 1.9 1.068886 0.454939 -0.035065 2.0 1.077309 0.374974 -0.114079 2.1 1.086374 0.285357 -0.184050 2.2 1.096138 0.184876 -0.240444 2.3 1.106766 0.072271 -0.277903 2.4 1.118204 -0.054152 -0.288854 2.5 1.130496 -0.196154 -0.264401 2.6 1.143708 -0.355598 -0.193931 2.7 1.157893 -0.534282 -0.065351 2.8 1.173099 -0.733397 0.133422 2.9 1.189288 -0.951614 0.408698 3.0 1.206063 -1.175893 0.734701 3.1 1.218532 -1.251806 0.780444 |
|
Pressure-Truncated n = 1 Polytrope
Drawing from an accompanying discussion, if the polytropic configuration is truncated by the pressure, , of a hot, tenuous external medium, then the solution to the LAWE is subject to the outer boundary condition,
|
|
|
at . |
Bipolytropic Envelope (Trial Simplification)
For the envelope of a bipolytrope, the relevant LAWE is,
| LAWE |
|
|
|
|
||
|
|
Three terms in this expression blow up at the surface, where and, hence, . We can improve the behavior of this LAWE expression by assuming that the eigenfunction is of the form,
|
|
in which case,
|
and, |
||
|
|
This gives,
| LAWE |
|
|
|
|
||
|
|
||
|
|
||
|
|
||
|
|
||
|
|
||
|
|
||
|
|
Try m = 1 and m = 2
If we set , there are still terms in the LAWE expression that blow up at the surface, where and, hence, . Instead, let's try :
|
|
||
|
|
||
|
|
which, at the surface , reduces to …
|
|
Hence, this LAWE will be satisfied for any function, , that goes to zero at the surface.
Try m = 3
Setting , we obtain,
|
|
||
|
|
||
|
|
which trivially reduces to zero at the surface because, . For all other relevant radial positions in the envelope, , we can divide through by to obtain,
|
|
Boundary Condition
In addition, there is a (boundary condition) constraint on the slope of the eigenfunction at the surface. So, let's examine …
|
|
||
|
|
Now, from above, we appreciate that when ,
|
|
||
|
|
It therefore appears as though we should adopt the function relation,
|
|
|
|
Let's now examine "model A" from above, for which, and . If we set , this LAWE becomes,
|
|
Discrete Determination of Bipolytropic Envelope
Here we focus on the specific equilibrium model sequence that has ; and along this sequence, we attempt to analyze the dynamical stability of "model A" from above, which sits along the sequence at the maximum-core-mass turning point for which …
| and | |||||||
| Model | |||||||
| A | 0.200812422 | - 0.859270052 | 9.0149598 | 0.188679805 | 0.17232050 | 2.28232260 | 1.9381270 |
| Key Parameter-Parameter Ratios | ||
| 588.6362811 | 11.25175286 | 0.019114950 |
As presented above, when , the eigenfunction for the core that we have deduced via the B-KB74 conjecture appears to be well represented by the expressions,
|
|
|
and, with, |
over the radial-parameter range,
| At the Core/Envelope Interface (as viewed from the core) |
||||
| + 0.004859763 | + 0.001322194 | 0.015314992 | + 0.778291359 | + 2.4526969 |
Copying from our earlier discussion of the envelope for "model A", the range of the radial parameter is,
|
SLOPE: As we have detailed elsewhere, we expect that the slope of the function, , is related to the slope of at the interface via the expression,
In our case, and . Hence, from the point of view of the envelope displacement function, at the interface,
Now, at the interface of any bipolytrope, the ratio should have the same numerical value whether it is viewed from the point of view of the core or the envelope. Given that, for our particular "model A",
we should expect the slope of the envelope's displacement function at the interface to be,
|
As above, we will integrate the discrete LAWE outward using the finite-difference expression,
|
|
|
|
When we started the integration at the center of the configuration, we kickstarted the process by, first, setting ; then, second, setting,
|
|
|
|
where, |
|
|
|
Having obtained and , we then used the finite-difference expression to calculate , as well as all subsequent "" values, all the way to the surface.
Here, instead, we want to start the envelope integration at the core/envelope interface as follows:
- The displacement function for the core gives us the value of the displacement function, , at , that is, at ; we recognize that this value of (at the interface) also furnishes the value of in the first integration step of the finite-difference expressions.
- We will then "guess" the slope of the envelope's displacement function, , at the interface.
- Our discrete representation of this first derivative permits us to write,
Inserting this expression into the finite-difference approximation to the LAWE gives for the first integration step only!
NOTE: Judging by the behavior of the B-KB74 generated displacement function, at the interface we expect the slope, , from the envelope's perspective to be shallower than the slope, , from the core's perspective. That is to say, we expect to "guess" values of such that at the interface,
|
|
|
|
|
|
|
|
|
|
|
|
|
|
|
|
|
|
|
|
|
|
|
|
Examine Pressure Gradient at the Interface
Determine the interface-pressure-gradient from two different perspectives: (1) Look at the behavior of the pressure as determined when the hydrostatic-balance models have been constructed; and (2) Look at the behavior of the specific entropy at the interface.
From Hydrostatic Balance
Pressure Gradient at Core Interface
Step 4: Throughout the core … we have,
|
|
|
|
|
|
|
|
and,
|
|
|
|
|
|
|
|
Hence, from the perspective of the core, at the interface the radial pressure derivative is,
|
|
|
|
Note, as well, that,
|
|
|
|
|
|
|
|
Pressure Gradient at Envelope Interface
Step 8: Throughout the envelope … we have,
|
|
|
|
|
|
|
|
and,
|
|
|
|
|
|
|
|
Hence, from the perspective of the envelope, at the interface the radial pressure derivative is,
|
|
|
|
where,
|
|
|
|
and, |
|
|
|
Simplifying this last expression a bit, we have,
|
|
|
|
|
|
|
|
Note, as well, that,
|
|
|
|
|
|
|
|
|
|
|
|
|
|
|
|
Pressure Gradient Summary
Whether viewed from the perspective of the core or the envelope, we have shown that the pressure at the interface is the same. However, at the interface, the first derivative (or the logarithmic derivative) of the pressure as viewed from the envelope is "larger" than what is viewed from the perspective of the core by the following factor:
|
factor |
|
|
We note, for later use, that averaging these two pressure-gradients at the interface gives,
|
|
|
|
From Step-Function Behavior of Specific Entropy
Strategically Incorporate Step Function
As we have discussed separately, a useful expression for the specific entropy of any individual Lagrangian fluid element is,
|
|
|
|
How does vary as a function of the Lagrangian mass shell (or Lagrangian radial coordinate)? In the case of a spherical bipolytropic configuration: (a constant) throughout the core; (another constant) throughout the envelope; and a unit step function,
|
|
can be introduced to accomplish the instantaneous jump from to at the core/envelope interface. Specifically, after defining,
|
|
|
|
we obtain the correct physical description of the variation of specific entropy with mass shell, , via the expression,
|
|
|
|
Adopting the half-maximum convention — which states that — we acknowledge that the functional value of the specific entropy at the interface is, . Also, from our accompanying brief discussion of the behavior of the unit step function, we appreciate that,
|
|
|
|
where, is the Dirac delta function. We conclude, therefore, that precisely at the interface,
|
|
|
|
Generally speaking, the two parameters, , and the mass density, , also will exhibit a step-function behavior at the interface of each equilibrium bipolytrope. The following table summarizes how we model the radial variation of these quantities.
| Quantity | Functional Behavior | At Interface | ||
| Value | Derivative wrt | Derivative wrt | ||
| Specific Entropy | ||||
| Mean Molecular Weight | ||||
| Ratio of Specific Heats | ||||
The step-function that arises in a proper description of the density distribution must be handled with a bit more care. Throughout the core,
|
|
|
|
and, |
|
|
|
and throughout the envelope,
|
|
|
|
and, |
|
|
|
The complete functional expression for the normalized mass density can therefore be written as,
|
|
|
|
|
|
|
|
Sanity check:
Now Take Radial Derivative of Pressure
Solving for in the expression for specific entropy, we have,
|
|
|
|
|
|
|
|
Hence,
|
|
|
|
|
|
|
|
We will need to recognize that, unless we are sitting exactly at the interface — that is, unless precisely —
|
|
|
|
Hence, for two of the separate physical regimes …
However, at the interface where precisely, we find,
|
|
|
|
|
|
|
|
|
|
|
|
|
|
|
|
|
|
|
|
At the interface, then, we have,
|
|
|
|
|
|
|
|
Finally, we see that,
|
|
|
|
|
|
|
|
|
|
|
|
so, at the interface,
|
|
|
|
Try Again
Additional studies of radial oscillations in models that lie along the "51 Renormalized" sequences can be found here.
Example BiPolytrope Sequence 0.3100
For the case of and , we consider here the examination of models with three relatively significant values of the core/envelope interface:
- : Approximate location along the sequence of the model with the maximum fractional core radius.
- : Approximate location along the sequence of the onset of fundamental-mode instability.
- : Exact location along the sequence of the model with the maximum fractional core mass.
See Also
- Prasad, C. (1953), Proc. Natn. Inst. Sci. India, Vol. 19, 739, Radial Oscillations of a Composite Model.
- Singh, Manmohan, (1969), Proc. Natn. Inst. Sci., India, Part A, Vol. 35, pp. 586 - 589, Radial Oscillations of Composite Polytropes — Part I
- Singh, Manmohan, (1969), Proc. Nat. Inst. Sci., India, Part A, Vol. 35, pp. 703 - 708, Radial Oscillations of Composite Polytropes — Part II
- Kumar, S., Saini, S., Singh, K. K., Bhatt, V., & Vashishta, L. (2021), Astronomical & Astrophysical Transactions, Vol. 32, Issue 4, pp. 371-382, Radial Pulsations of distorted Polytropes of Non-Uniform Density.
|
Appendices: | VisTrailsEquations | VisTrailsVariables | References | Ramblings | VisTrailsImages | myphys.lsu | ADS | |




