Apps/MaclaurinToroid

From jetwiki
Jump to navigation Jump to search

Maclaurin Toroid

Maclaurin
Toroid Sequence

MPT77

In a separate chapter, we focused on the pioneering work of 📚 F. W. Dyson (1893, Phil. Trans. Royal Soc. London. A., Vol. 184, pp. 43 - 95), 📚 F. W. Dyson (1893, Phil. Trans. Royal Soc. London. A., Vol. 184, pp. 1041 - 1106) and, more recently, 📚 C. -Y. Wong (1974, ApJ, Vol. 190, pp. 675 - 694), who determined the approximate equilibrium structure of axisymmetric, uniformly rotating, incompressible tori. We will refer to these uniformly rotating configurations as "Dyson-Wong tori."

Here, we summarize the work of 📚 P. S. Marcus, W. H. Press, & S. A. Teukolsky (1977, ApJ, Vol. 214, pp. 584 - 597) — hereafter, MPT77 — who constructed a sequence of toroidal-shaped, self-gravitating, incompressible configurations that are not uniformly rotating but, rather, have a distribution of angular momentum that is identical to the distribution found in a uniformly rotating, uniform-density sphere. As we have pointed out in our associated overview of "simple rotation curves", this chosen (cylindrical) radial distribution of specific angular momentum is given by the expression,

φ˙ϖ2

=

5L2M{1[1m(ϖ)]2/3},

📚 Stoeckly (1965), §II.c, Eq. (12)
📚 Ostriker & Mark (1968), Eq. (45)
📚 Bodenheimer & Ostriker (1970), Eq. (12)
📚 Bodenheimer & Ostriker (1973), Eq. (3)

where, L is the total angular momentum, M is the total mass, the mass fraction,

m(ϖ)Mϖ(ϖ)M,

and Mϖ(ϖ) is the mass enclosed within a cylinder of radius, ϖ. Such equilibrium models are often referred to as n=0 configurations, although MPT77 do not use this terminology. Following the lead of MPT77, we will refer to each of their equilibrium configurations as a "Maclaurin Toroid."

Maclaurin Spheroid Reminder

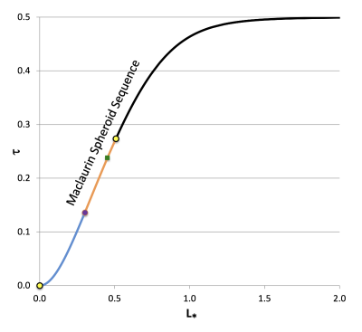
As has been demonstrated in our accompanying discussion of the Maclaurin spheroid sequence, the (square of the) normalized angular momentum that is associated with a spheroid of eccentricity, e(1c2/a2)1/2, is,

L*2L2(GM3a¯)

=

652[(32e2)(1e2)1/2sin1ee33(1e2)e2](1e2)2/3.

📚 Marcus, Press, & Teukolsky (1977), §IVa, p. 591, Eq. (4.2)

In that same discussion, we have demonstrated that that the corresponding ratio of rotational to gravitational potential energy is given by the expression,

τTrot|Wgrav|

=

12e2sin1e[(32e2)sin1e3e(1e2)1/2].

📚 Marcus, Press, & Teukolsky (1977), §IVc, p. 594, Eq. (4.4)

Figure 4 from this accompanying discussion shows how L* varies with τ along the Maclaurin Spheroid sequence. In an effort to conform to MPT77's presentation, our Figure 1 (immediately below) displays the same information as displayed in Figure 4 of this separate chapter, but the axes have been swapped and the maximum displayed value of L* has been extended from 1 to 3.

EFE Diagram
OurEFE

 
Figure 1
MPT77three

 
Figure 2
MPT77four

This multicolor curve also appears as a solid black curve in:

This multicolor curve also appears as a solid black curve in:

Constructed Maclaurin Toroid Models

📚 Marcus, Press, & Teukolsky (1977) did not create a tabulated description of the models that they constructed along their so-called "Maclaurin Toroid" sequence. Throughout their paper, however, they identify the properties of a selected group of equilibrium models. Here is a list of the Maclaurin Toroid models that we have pulled from their discussion.

Model L* Spheroid Equivalent Notes …
e τ Etot=(T+W)/ET78
L 0.775 0.994 0.4058 0.25011 Toroid does not exist
L0 0.792±0.002 0.9949±0.0001 0.41195 0.24263 Total energy of toroid is same as the total energy of Maclaurin spheroid with same L*.
  0.8732 0.9975 0.4367 0.21014 Marginally stable Maclaurin spheroid and associated toroid; see MPT77's Figure 2 (p. 592). Also, one (of five) meridional cross-sections displayed in MPT77's Figure 3 (p. 593)
L+ 0.965175 0.99892 0.45747 0.17857 Analytically known (!) onset of dynamical instability along Maclaurin spheroid sequence; see § 33 of EFE and the last row of Table B.1 from 📚 Bardeen (1971)
  0.9852 0.99910 0.46104 0.17252 Four (of five) meridional cross-sections displayed in MPT77's Figure 3 (p. 593)
  1.0731 0.99960 0.47369 0.14847
  1.1489 0.99980 0.48125 0.13104
  1.2262 0.9998999 0.486665 0.11597

See Also

Tiled Menu

Appendices: | VisTrailsEquations | VisTrailsVariables | References | Ramblings | VisTrailsImages | myphys.lsu | ADS |